
題目敘述
題目的輸入會給我們一個串列,要求我們從頭到尾反轉整個串列。
如果輸入是1 -> 2 -> 3,那麼輸出就是 3 -> 2 -> 1
測試範例
Example 1:

Input: head = [1,2,3,4,5]
Output: [5,4,3,2,1]
Example 2:

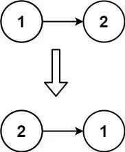
Input: head = [1,2]
Output: [2,1]
Example 3:
Input: head = []
Output: []
約束條件
Constraints:
- The number of nodes in the list is the range
[0, 5000]. -5000 <= Node.val <= 5000
進階提問
Follow up: A linked list can be reversed either iteratively or recursively. Could you implement both?
試著用遞迴法和迭代法去實現。
演算法
使用到double pointers 雙指針的技巧。
這邊的用法借用到sliding window 滑窗的概念
每一次迭代處理鄰近的兩個節點,改變next的方向,從指向後方轉為指向前方。這次迭代處理完,再滑動到下一組鄰近的兩個節點,用同樣的方式去反轉,一直到抵達linked list 終點為止。
遞迴、DFS演算法的精隨也在此,尋找問題共通的形式,找出共同的最小操作單元,接著用遞迴去探索整個搜索空間Search space,解出原本的問題。









