身為一個馬達相關從業人員,對於KV值這項參數的存在,常讓筆者覺得滿頭問號,即便是瞭解KV值的使用方式及思考邏輯,知道了KV值對某些使用者的存在意義,仍然是覺得難以接受。
由於永磁馬達的轉速與電壓之間可視為明確的線性關係,如下圖所示,電壓越高則轉速越快;因此在馬達領域有了一個專有名詞,反電動勢常數(Back EMF Constant)用來描述永磁馬達中電壓與轉速的關聯性。當馬達旋轉時,會因為內部的磁場與線圈電場交互作用產生電磁關係,導致了發電的情況,此時發出來的電壓值就稱為反電動勢,而將反電動勢除以馬達當下的角速度,就是反電動勢常數。請注意,反電動勢的嚴謹定義是用角速度(rad/s),而非較為常見的每分鐘轉速(RPM),但僅是單位換算的差異,含意是相同的。
線性關係
反電動勢常數與KV值之間可謂之一種倒數關係,也就是說將反電動勢常數的分子與分母關係對調,其實就是KV值;反電動勢常數係利用轉速,來求得反電動勢的電壓值,而KV值則是利用電壓值來求得轉速。故使用者得知此顆馬達的KV值後,會利用輸入電壓的調整,來預估馬達轉速的變化,在速度上的應用就顯得十分方便。
但就是這種使用方法,反而讓筆者無法認同KV值。反電動勢常數這項數值,僅是拿來描述跟理解這顆馬達的特性,並非是要使用反電動勢常數去運用或是操作馬達;更類似一種數值的評測標準,讓人可以藉由此參數來認識這顆馬達,或是一個參考與觀測用的參數值。
而KV值卻是反其道而行,希望藉由輸入電壓值的控制,達到對馬達轉速控制之目的。然而此種判斷卻是缺乏了整體系統的負載、損失及溫度影響的真實考量。
由下圖中的馬達自動控制方塊圖來看,當輸入電壓(V)進入馬達線圈之中,會受到線圈電阻(R0)及電感(L)的作用之後轉換成電流(i);而後馬達電流與馬達內部的電磁作用,也就是圖中的馬達轉距常數(kt),形成了轉距(T)輸出;此時的轉距則需要先應付外部負載(T0)及機構上的損耗(Tspeed),包括摩擦損,黏滯損及各種機械損耗,剩餘的輸出能量才會變成轉速(ω)輸出;同時轉速還會在透過反電動勢常數(ke)轉換成反電動勢影響輸入電壓,形成一個完整的系統迴路。因此我們可以看到輸入電壓一共經歷了三次轉換,分別為電壓轉電流,電流變轉距,轉距變轉速;其中還要考慮能量轉換的效率與損耗,另外還有真實負載及損耗的情況,才會是真正的轉速呈現在使用者面前。而KV值顯然大幅的簡化相關資訊,因此對馬達熟悉的使用者,其實無法直接使用;除非負載極輕,或是不得已而為之,才會直接使用KV值應用。

馬達系統方塊圖
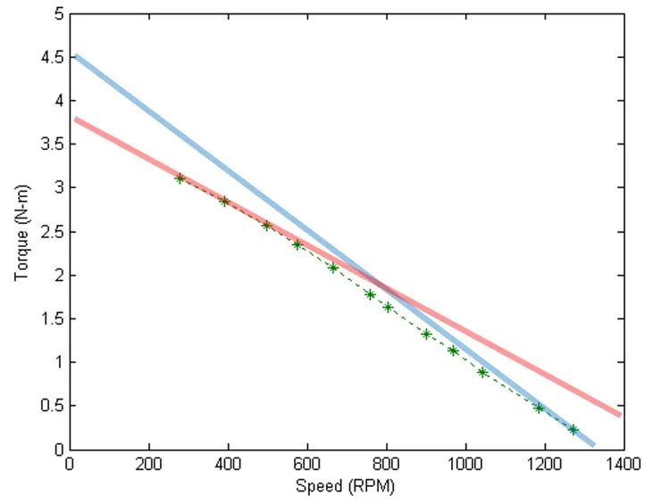
此外,永磁馬達的線性表現,是定義在固定溫度下的結果,一但溫度產生變化,那常數值就會產生變化。主要是馬達線圈電阻會受到溫度增加而變大;磁鐵則是會受到溫度上升而降低磁性強度,導致馬達特性深受溫度影響。這時馬上就會有個疑問,您手上的KV值是在什麼溫度下求得的?其實廠商一般都在室溫環境下量得此參數值,但現行馬達正常的工作溫度是80~120度之間,而無人機馬達甚至會達到200度的高溫;這溫度對馬達的影響,甚至可以視為兩顆不同規格的馬達。如下圖所示,綠色點是真實量測馬達特性時的工作點,但由於本次量測的觀測時間較長,導致馬達溫升開始變化,因此可以得到藍色線段為室溫時的馬達輸出規格曲線,而紅色線段則是馬達溫生後的表現;這就會造成使用者依規格(藍色)挑選馬達後,使用上卻覺得不符合(紅色)需求的原因。

溫度影響
重點整理:
真實的世界,很複雜。
特別申明:筆者目前確認國內有自製無人機馬達能力的廠商,商業規格請找虹印機電,軍規請找六俊電機。筆者會知道,是因為這兩家有購買無人機馬達的生產設備,因此確認他們有生產能力。
#可擔任業界顧問、講師
#個人經營歡迎贊助
馬達技術傳承計畫
想要馬達的技術嗎?想要的話可以全部給你,去找吧!
我把所有的知識都放在那裡了。



















