結論:
大致上美股的Q1的財報已經公佈的差不多了, 想跟各位分享的華爾街的大機構法人或公司內部人士在公佈完Q1財報後的進出動態, 最後也會提到美國國會議員近期投資的動作, 作為我們觀察的參考, 並做成彙整報告給各位, 提醒各位:如果個股股價位階在低位而且出現在Sell Side 和 Buy Side次數較多的是未來可以考慮佈局的重點個股.
前言:
今天是美西時間5/25日, 下週美股因週一放假, 開盤只有四天交易時間, 大致上關注的重點大概總經方面就是週五(5/31)的核心PCE比較重要. 另外財報上下週有比較重要的幾家公司要發布財報, 還是值得關注一下:Cost(5/30盤後), Dell(5/30盤後), MRVL(5/30盤後), ANF(5/29盤前), CRM(5/29盤後), OKTA(5/29盤後), NTNX(5/29盤後), PSTG(5/29盤後)
- Dell, MRVL, PSTG, CRM就是關注跟AI相關或半導體的焦點
- NTNX, OKTA關注網路軟體服務商的發展
- COST, ANF關注美國零售消費的情況
以上所列出的這些個股, 大多是機構在Q1已經大部分建倉, 十分關注後續Q2的展望, 並且股價已經大幅上漲一段, 如果業績表現不錯且下季展望也優於預期, 股價短期應該會表現持續強勢, 反之就需小心.
第一部分:觀察主要法人, 大股東與政治人物的交易動態
Overall Review
- 首先, 觀察到市場大資金(主要是對沖基金)在本月呈現淨買超的情況, 也主要推升美股三大指數續創新高, 目前市場的資金仍然相對寬鬆
對沖基金近期仍呈現淨買超:(主要指數續創新高)

- 對沖基金本週的Sell/ Buy Ratio比例呈現小幅上升:
許多對沖基金在指數高點有部分個股漲幅較大的獲利了結, 主要集中在科技(半導體), 公共事業板塊(電力)以及部分的零售個股(類似WMT)

內部人 買進/ 賣出的股票:
- 本週內部人申報股票的買賣趨勢:
我們觀察公司內部人的持股買賣狀況, 發現本週提交的報告發現買和賣公司股票有小幅下降, 大股東或經理人在今年三月申報出售持股達到高峰後目前雖然有降下的趨勢, 但整體出售的金額還在高點, 公司內部人士購買自家股票的金額維持在低點, 整體股市表現較佳的情況, 內部人士賣股還是多過買進股票的金額

- 美國主要公司內部人在近半個月主要申報買進股票:搭配以上公司內部人士買進個股與機構加倉買進的個股後, 後續可以關注重點個股包括以下:
LMB, CAT, LNW , CMI(重點關注 LMB:股價維持多頭趨勢, 大股東依然在股價高位買進, 代表對公司基本面後勢仍然看好)

- 內部人在近半個月內申讓出售持股:
根據以往的量化經驗, 雖然內部人士申報持股, 如果金額不大, 搭配是美國報稅季節, 很多內部人士會趁股價在相對高點賣股報稅, 如果公司公布業績在下季的展望還是優於預期時, 短期股價仍然會上漲, 美國大股東賣股有時只能當成短期股價強弱的參考標準之一, 並非股價轉折點的重要決定因素.

以下需注意的個股主要標黃色顏色, 內部人士減持比較大的比率, 包括:
- APH
- CSL
- HD
- CVNA
- APPF
目前知道APH和CSL機構持續買進, 機構持續看好.
較值得關注的個股:CSL在內部人士公告出售持股後, 股價整理大約2-3天候繼續上攻,主要機構持續加倉的議題在於:公司主要是雲解決方案(CCS)和先進技術解決方案(ATS),在北美、歐洲和亞洲提供高科技電子製造和供應鏈服務,為資料中心提供廣泛的服務和產品,如計算伺服器、網路交換機和儲存硬體。也是AI概念股之一。
補充說明:
CLS Q1業績表現亮眼:
Q1 EPS of $0.86 高於 $0.11(預期).
- 營收 2.21B (+20.1% Y/Y) 高於 30M(預期)
Q2 業績展望:
- 營收 2.175 - 2.325B; EPS 0.75 - 0.85.
華爾街機構 - Sell Side調整個股評等與目標價:
整理Sell Side 知名大機構的分析師在Q1財報後公布的個股評等, 有調高評等與降低評等的個股, 這邊我們主要關注調高評等個股
觀察Sell Side的研究報評等主要有幾個重點需要注意的:
- 如果Sell Side調高評等, 但之前股價還沒發動(位階仍低), 這比較是好的介入標的
- 關注調高評等且調高目標價的個股(調高評等主要看的是長期的公司發展趨勢, 調整股價高低是關注短期股價位階是否已達到估值, 往上的或往下的空間還有多少?)
- 如果只有調高評等但下修目標價, 通常這種個股短期比較不會受到Buy Side的青睞(美國Buy Side要買進一檔個股需要有內部機制, 通常有Sell Side的研究報告, Buy Side比較有進出依據, 有時候雖然Buy Side會先買股票, 當Sell Side出報告時, 就會利用調高評等而高點獲利了結, 因此觀察Sell Side的評等調整需要配合個股的高低位階一併觀察, 台股的金融圈的Sell Side研究報吿和投信法人的個股買賣進出也是如此的參考模式)
以下我們搜集華爾街排名『前20』的分析師從5月以來針對各板塊調整的個股做成匯總並分析:



說明:
綜合以上, Sell Side分析師剛調整評等後並認為:
具有較上漲空間的股票:(以下兩檔股票為毛票, 在降息預期減低下的大環境尚未有明確改變下, 需要小心注意沒有盈利的個股基本面)
- Arteris (AIP):84.50%
- AXT, Inc. (AXTI):73.41%
須要關注的個股:
- NVDA: 有四位大分析師調高目標價, 全都維持跑贏標普大盤的評級, 最高目標價為1400元, 中位數落在1200-1280元, 最高有30%的上漲空間
- ADI: 有兩位大分析師調高評級和目標價, 為建議買進, 目標價最高為270, 有18.27%的上漲空間
- AMD: 有兩位大分析給予買進和跑贏大盤等級, 目標價調高最高到200-250元, 最高有50%以上的上漲空間
- NXPI: 有兩位大分析分別給予買進和中立等級, 目標價調高最高到291元, 最高僅有約5%的上漲空間, 漲幅有限
- SMCI: 有一位分析師給予買進等級, 目標價1300元, 目前具有約47%的上漲空間, 雖然只有一位分析師調高目標價, 但這位分析師在華爾街Sell Side相當有份量.
- ARM:有一位分析師給予買進等級, 目標價180元, 上漲空間約57%。
- 其他需注意的個股, 基本面不錯, 股價仍有上漲空間:AMAT, ANET, APH, TTD等, 但個股短線漲幅已大, 需留意Buy Side短線趁調高目標價或評等後獲利了結.

近一步搜集並彙整Wall Street 排名前100名的Sell Side分析師目標價共識之量化分析:

主要的四大機構Sell Side分析師近期個股的評級與目標價:
- Morgan Stanley:

分析:
具有較大上漲空間的股票:(注意:以下兩檔個股業績財報不太理想, 技術面來觀察, 股價已經跌破支撐位, 但分析師仍然相信個股未來趨勢展望佳)
- WDAY:47.12%
- RAMP:40.67%
- INTU: 21.9%
值得關注的股票:
- MU:股價漲幅已達到目標位, 未來記憶體產業在AI帶動下, 股價趨勢往上不變, Sell Side應該會被迫調高目標價
- NVDA:目標價:1160元
- WDAY:維持跑贏大盤評等, 但調降目標價:從330到325元(維持跑贏大盤評等但調降目標價的意思是:長期公司產業基本面看好, 所以維持跑贏大盤評等(長期看法); 但短期股價因財報不如預期, 所以股價有下調空間(短期看法)).
- PANW: 目標價360, 具有約12%的上漲空間. (題外話:機構調高目標價是幫裴姨解套?)
2. JP Morgan:

主要關注的重點個股:
1. AMZN:維持超越大盤評級, 目標價小幅提升至240元, 股價具有32.78%的上漲空間
2.WDAY:維持超越大盤評級, 目標價下修至285元, 股價具有29%的上漲空間
看好理由: Workday提供雲計算企業軟件服務,特別是在財務管理和人力資源管理方面,具有強勁的市場需求。這是第二家大機構對WDAY維持跑贏大盤評等, 目前股價因財報不如預期大幅調整, 可以多加注意後續發展。
3. SNOW: 維持超越大盤評級, 目標價上修至185元, 股價具有18.5%的上漲空間(調升日期:5/23)
4.. ADI: 維持超越大盤評級, 目標價上修至260元, 股價具有11.8%的上漲空間(調升日期:5/23)
看好理由: Analog Devices 在半導體行業具有重要地位,隨著物聯網和自動化技術的發展,其產品需求穩步增長。這是第二家大機構對WDAY維持跑贏大盤評等。
5. NVDA : 維持超越大盤評級, 目標價上修至1150元, 股價具有8%的上漲空間(調升日期:5/23)
看好理由: NVIDIA 是全球領先的圖形處理器(GPU)製造商,在人工智能和數據中心市場具有巨大的增長潛力。
- Goldman Sachs:

上漲空間較大的股票:
- Singular Genomics Systems (OMIC):96.85%
- Stem, Inc. (STEM):53.85%
- Lululemon Athletica (LULU):52.80%
值得關注的股票:
Walmart (WMT):維持買進評等, 目標價調高至73元, 股價有約11.65%上漲空間
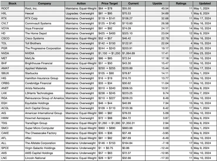
- Wells Fargo:

上漲空間較大的股票:
- ROOT:40.54%
- HXL:34.69%
- RTX:32.68%
值得關注的股票:
- NVDA:17(目標價上修至1250, 股價具有17.4%上漲空間)
- SMCI: 3 (下調目標價至890, 股價僅有0.69%上漲空間)
華爾街機構 - Buy Side的買進/ 賣出個股:
上週對沖基金買超和賣超前幾名的美股大型公司:
買超大公司部分:
主要還是以Google買超為主, 大單買進還是佔多數, 第二名為AAPL, 上週Google的AI搜尋新功能又傳出災情, 股價目前短期順勢回調至10MA有止穩, 對沖基金大單上週仍持續買進下, 股價調整後應該還有機會上攻

賣超大公司部分:
上週大單賣出排名第一名為MSFT, 第二名為META, 至於Goog和NVDA也有相當的大單賣出, 但尤其以小單賣出較多

最後我們搜集到美國的國會議員近期的動作:
我們發現有幾檔個股短期可以多加注意:買進個股為:AMD, AAPL, CAT. 至於NVDA有買進也有議員申報賣出, NFLX有議員為申報賣出(但短期機構有買進NFLX)
國會議員近期交易紀錄:

第二部分:關注本週財報重點公司- Dell 對AI的展望
財報關注重點:
- 在2月份的上一個季度的財報會議上,公司給予Dell 在人工智慧市場相當大的發展潛力展望。
- 公司在上次季報會議表示,AI的伺服器交付增加了40%,達到8億美元,預計在今年的Q3-Q4,可達到29億美元。 觀察對於下季的展望是否依然保持樂觀?有無機會上修?
Dell 近期基本面資訊彙整:Dell 集AI伺服器與AI PC於一身的個股, 類似台股的鴻海, 今年股價表現跟過去有相當大的上漲空間(鹹魚翻身)
- Dell 從一家將從硬體公司轉變為成長更快的AI 公司,生成性人工智慧使得Dell 過去從主要消費性電子逐漸轉向未來企業和商業AI應用服務的定位。
- 花旗提升對Dell 在人工智慧市場獲得份額潛力的看漲看法,並將目標價格從125美元提高到170美元。花旗認為Dell 今年對人工智慧相關收入的收益能力約為2.5元, 應該還有機會上修獲利目標 。
- 在Las Vages 舉行的Dell 技術世界會議上,該公司推出全面的Copilot+ AI PC組合,與Nvidia合作擴大其AI工廠,公佈其Dell PowerStore ,並提供新的Blackwell GPU伺服器。
- 高增長的人工智慧產品和服務市場:Dell在人工智慧硬體和服務市場目前預計每年將以20%的CAGR增長。
各家產業研究機構對Dell未來幾年在AI的領域的成長性預估:

- Dell 推出XE9680緊湊型機箱的液冷版本,名稱為XE9680L,最多可容納8個Nvidia GPU。 它還從PowerScale F910,這是一個經過最佳化的全快閃記憶體儲存陣列,以加快對GenAI工作負載所需的大型資料集的運算。
- 此外,Dell 為其PowerEdge XE9680伺服器宣佈了新的由Broadcom驅動的400G PCIe Gen 5.0乙太網介面卡。
- Dell 宣佈與Meta進一步合作其Llama 3型號,並與MSFT合作為Azure人工智慧服務提供解決方案。
- 在PC方面,Dell 推出了5款新的Copilot+人工智慧加速PC——是所有PC OEM中最多的。 Dell 推出了首款不配備英特爾CPU的XPS13,以及兩款新的Inspiron和兩款新的Latitude。 Dell 與Arm與QCOM驍龍X Elite和X Plus SOC下加大合作拓展更大空間。





















