ab換底(二)

更新 發佈閱讀 1 分鐘
vocus|新世代的創作平台

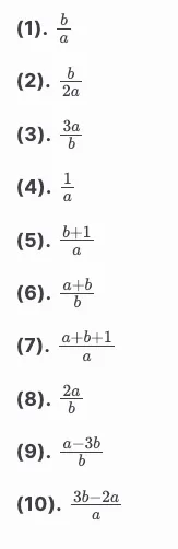
解答:

vocus|新世代的創作平台




留言
avatar-img
WilliamP的沙龍
16會員
621內容數
歡迎來到 WilliamP 的沙龍天地,在這裡將與各位讀者探討各種主題,包刮高中數學題庫、PHP開發經驗、LINE聊天機器人開發經驗、書摘筆記等,歡迎交流!
WilliamP的沙龍的其他內容
2025/05/03
高中數學主題練習—求角平分線
Thumbnail
2025/05/03
高中數學主題練習—求角平分線
Thumbnail
2025/05/03
高中數學主題練習—求角平分線
Thumbnail
2025/05/03
高中數學主題練習—求角平分線
Thumbnail
2025/05/03
高中數學主題練習—兩歪斜線之公垂線段長
Thumbnail
2025/05/03
高中數學主題練習—兩歪斜線之公垂線段長
Thumbnail
看更多
你可能也想看
Thumbnail
高中數學主題練習—根式化簡
Thumbnail
高中數學主題練習—根式化簡
Thumbnail
高中數學主題練習—對數方程式
Thumbnail
高中數學主題練習—對數方程式
Thumbnail
全新版本的《三便士歌劇》如何不落入「復刻經典」的巢臼,反而利用華麗的秀場視覺,引導觀眾在晚期資本主義的消費愉悅之中,而能驚覺「批判」本身亦可能被收編——而當絞繩升起,這場關於如何生存的黑色遊戲,又將帶領新時代的我們走向何種後現代的自我解構?
Thumbnail
全新版本的《三便士歌劇》如何不落入「復刻經典」的巢臼,反而利用華麗的秀場視覺,引導觀眾在晚期資本主義的消費愉悅之中,而能驚覺「批判」本身亦可能被收編——而當絞繩升起,這場關於如何生存的黑色遊戲,又將帶領新時代的我們走向何種後現代的自我解構?
Thumbnail
長期以來,西方美學以《維特魯威人》式的幾何比例定義「完美身體」,這種視覺標準無形中成為殖民擴張與種族分類的暴力工具。本文透過分析奈及利亞編舞家庫德斯.奧尼奎庫的舞作《轉轉生》,探討當代非洲舞蹈如何跳脫「標本式」的文化觀看。
Thumbnail
長期以來,西方美學以《維特魯威人》式的幾何比例定義「完美身體」,這種視覺標準無形中成為殖民擴張與種族分類的暴力工具。本文透過分析奈及利亞編舞家庫德斯.奧尼奎庫的舞作《轉轉生》,探討當代非洲舞蹈如何跳脫「標本式」的文化觀看。
Thumbnail
若說易卜生的《玩偶之家》為 19 世紀的女性,開啟了一扇離家的窄門,那麼《海妲.蓋柏樂》展現的便是門後的窒息世界。本篇文章由劇場演員 Amily 執筆,同為熟稔文本的演員,亦是深刻體察制度縫隙的當代女性,此文所看見的不僅僅是崩壞前夕的最後發聲,更是女人被迫置於冷酷的制度之下,步步陷入無以言說的困境。
Thumbnail
若說易卜生的《玩偶之家》為 19 世紀的女性,開啟了一扇離家的窄門,那麼《海妲.蓋柏樂》展現的便是門後的窒息世界。本篇文章由劇場演員 Amily 執筆,同為熟稔文本的演員,亦是深刻體察制度縫隙的當代女性,此文所看見的不僅僅是崩壞前夕的最後發聲,更是女人被迫置於冷酷的制度之下,步步陷入無以言說的困境。
Thumbnail
本文深度解析賽勒布倫尼科夫的舞臺作品《傳奇:帕拉贊諾夫的十段殘篇》,如何以十段殘篇,結合帕拉贊諾夫的電影美學、象徵意象與當代政治流亡抗爭,探討藝術在儀式消失的現代社會如何承接意義,並展現不羈的自由靈魂。
Thumbnail
本文深度解析賽勒布倫尼科夫的舞臺作品《傳奇:帕拉贊諾夫的十段殘篇》,如何以十段殘篇,結合帕拉贊諾夫的電影美學、象徵意象與當代政治流亡抗爭,探討藝術在儀式消失的現代社會如何承接意義,並展現不羈的自由靈魂。
Thumbnail
高中數學主題練習—兩點斜率
Thumbnail
高中數學主題練習—兩點斜率
Thumbnail
高中數學主題練習—ab換底
Thumbnail
高中數學主題練習—ab換底
Thumbnail
高中數學主題練習—兩點斜率
Thumbnail
高中數學主題練習—兩點斜率
Thumbnail
高中數學主題練習—配方法
Thumbnail
高中數學主題練習—配方法
Thumbnail
高中數學主題練習—指數律基本練習
Thumbnail
高中數學主題練習—指數律基本練習
Thumbnail
高中數學主題練習—分點計算
Thumbnail
高中數學主題練習—分點計算
追蹤感興趣的內容從 Google News 追蹤更多 vocus 的最新精選內容追蹤 Google News