和的立方(一)

更新 發佈閱讀 1 分鐘
vocus|新世代的創作平台

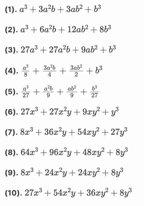
解答:

vocus|新世代的創作平台


留言
avatar-img
WilliamP的沙龍
16會員
621內容數
歡迎來到 WilliamP 的沙龍天地,在這裡將與各位讀者探討各種主題,包刮高中數學題庫、PHP開發經驗、LINE聊天機器人開發經驗、書摘筆記等,歡迎交流!
WilliamP的沙龍的其他內容
2025/04/16
中學數學基礎練習—整數除法練習
Thumbnail
2025/04/16
中學數學基礎練習—整數除法練習
Thumbnail
2025/04/16
中學數學基礎練習—整數除法練習
Thumbnail
2025/04/16
中學數學基礎練習—整數除法練習
Thumbnail
2025/04/04
中學數學基礎練習—整數連續加減法練習
Thumbnail
2025/04/04
中學數學基礎練習—整數連續加減法練習
Thumbnail
看更多
你可能也想看
Thumbnail
《轉轉生》(Re:INCARNATION)為奈及利亞編舞家庫德斯.奧尼奎庫與 Q 舞團創作的當代舞蹈作品,結合拉各斯街頭節奏、Afrobeat/Afrobeats、以及約魯巴宇宙觀的非線性時間,建構出關於輪迴的「誕生—死亡—重生」儀式結構。本文將從約魯巴哲學概念出發,解析其去殖民的身體政治。
Thumbnail
《轉轉生》(Re:INCARNATION)為奈及利亞編舞家庫德斯.奧尼奎庫與 Q 舞團創作的當代舞蹈作品,結合拉各斯街頭節奏、Afrobeat/Afrobeats、以及約魯巴宇宙觀的非線性時間,建構出關於輪迴的「誕生—死亡—重生」儀式結構。本文將從約魯巴哲學概念出發,解析其去殖民的身體政治。
Thumbnail
題目敘述 題目會給我們一顆二元樹的根結點,請我們列出每一層最右邊的節點值,以陣列的形式返回答案。 題目的原文敘述 測試範例 Example 1: Input: root = [1,2,3,null,5,null,4] Output: [1,3,4] 每一層最右邊的節點值分別是1, 3,
Thumbnail
題目敘述 題目會給我們一顆二元樹的根結點,請我們列出每一層最右邊的節點值,以陣列的形式返回答案。 題目的原文敘述 測試範例 Example 1: Input: root = [1,2,3,null,5,null,4] Output: [1,3,4] 每一層最右邊的節點值分別是1, 3,
Thumbnail
題目敘述 題目會給定一棵二元樹的根結點,要求我們判定這是否為一顆合法的奇偶二元樹? 奇偶二元樹的定義: 從上到下依序是第0層、第一層、...、第n層 偶數層裡面的節點值都必須是奇數,而且由左到右嚴格遞增。 奇數層裡面的節點值都必須是偶數,而且由左到右嚴格遞減。 題目的原文敘述 測試
Thumbnail
題目敘述 題目會給定一棵二元樹的根結點,要求我們判定這是否為一顆合法的奇偶二元樹? 奇偶二元樹的定義: 從上到下依序是第0層、第一層、...、第n層 偶數層裡面的節點值都必須是奇數,而且由左到右嚴格遞增。 奇數層裡面的節點值都必須是偶數,而且由左到右嚴格遞減。 題目的原文敘述 測試
Thumbnail
題目會給我們一個方陣,要求我們計算兩條對角線的元素總和。
Thumbnail
題目會給我們一個方陣,要求我們計算兩條對角線的元素總和。
Thumbnail
高一下數列的代入求解法和一般項求解法
Thumbnail
高一下數列的代入求解法和一般項求解法
Thumbnail
題目給定一個布林代數的二元樹,要求我們計算最後的結果。 葉子節點都是真假值 非葉子節點都是布林運算子
Thumbnail
題目給定一個布林代數的二元樹,要求我們計算最後的結果。 葉子節點都是真假值 非葉子節點都是布林運算子
Thumbnail
這是一場修復文化與重建精神的儀式,觀眾不需要完全看懂《遊林驚夢:巧遇Hagay》,但你能感受心與土地團聚的渴望,也不急著在此處釐清或定義什麼,但你的在場感受,就是一條線索,關於如何找著自己的路徑、自己的聲音。
Thumbnail
這是一場修復文化與重建精神的儀式,觀眾不需要完全看懂《遊林驚夢:巧遇Hagay》,但你能感受心與土地團聚的渴望,也不急著在此處釐清或定義什麼,但你的在場感受,就是一條線索,關於如何找著自己的路徑、自己的聲音。
Thumbnail
在AI浪潮下,009819 中信美國數據中心及電力ETF 直接卡位算力與電力雙主軸,等於掌握AI最核心基建。2008從 Apple Inc. 與 iPhone 帶動供應鏈,到如今AI崛起,主線已由應用端轉向底層。AI發展離不開算力與電力支撐,009819的價值,在於押中「沒有它不行」的核心資產。
Thumbnail
在AI浪潮下,009819 中信美國數據中心及電力ETF 直接卡位算力與電力雙主軸,等於掌握AI最核心基建。2008從 Apple Inc. 與 iPhone 帶動供應鏈,到如今AI崛起,主線已由應用端轉向底層。AI發展離不開算力與電力支撐,009819的價值,在於押中「沒有它不行」的核心資產。
Thumbnail
本文分析導演巴里・柯斯基(Barrie Kosky)如何運用極簡的舞臺配置,將布萊希特(Bertolt Brecht)的「疏離效果」轉化為視覺奇觀與黑色幽默,探討《三便士歌劇》在當代劇場中的新詮釋,並藉由舞臺、燈光、服裝、音樂等多方面,分析該作如何在保留批判核心的同時,觸及觀眾的觀看位置與人性幽微。
Thumbnail
本文分析導演巴里・柯斯基(Barrie Kosky)如何運用極簡的舞臺配置,將布萊希特(Bertolt Brecht)的「疏離效果」轉化為視覺奇觀與黑色幽默,探討《三便士歌劇》在當代劇場中的新詮釋,並藉由舞臺、燈光、服裝、音樂等多方面,分析該作如何在保留批判核心的同時,觸及觀眾的觀看位置與人性幽微。
Thumbnail
題目敘述 題目會給我們一個整數陣列nums,要求我們計算平衡軸心點在哪? 平衡軸心的意思就是軸心點索引左側的元素總合 = 軸心點索引右側的元素總合 例如 整數陣列nums=[1,2,2,7,2,3] 7左側的元素總合為 1 + 2 + 2 = 5 7右側的元素總合為 2 + 3 = 5
Thumbnail
題目敘述 題目會給我們一個整數陣列nums,要求我們計算平衡軸心點在哪? 平衡軸心的意思就是軸心點索引左側的元素總合 = 軸心點索引右側的元素總合 例如 整數陣列nums=[1,2,2,7,2,3] 7左側的元素總合為 1 + 2 + 2 = 5 7右側的元素總合為 2 + 3 = 5
追蹤感興趣的內容從 Google News 追蹤更多 vocus 的最新精選內容追蹤 Google News