含回測績效推估模擬、操盤邏輯、基金參考樣本與投資建議(截至 2025/04/28)
一、 基金基本資訊
- ETF代碼:00980A
- 基金名稱:野村臺灣智慧優選主動式ETF
- 投信公司:野村投信
- 掛牌日期:2025年5月5日
- 基金型態:台股主動式股票型ETF(季配息)
- 核心特色:結合基本面質化分析與量化因子模型,專注從「成長、價值、動能」三個面向挑選潛力個股,主打「智慧選股+主動風控」。
二、 操盤團隊與策略亮點
00980A由野村投信資深經理人游景德領軍,其團隊具備以下亮點:
三、回測績效推估:基於野村台股主動基金群
(計算基準:截至2025/04/28)
以下為00980A參考的野村主動型台股基金8檔績效概覽與預估邏輯:
參考樣本:野村主動台股基金績效表
(單位:報酬率,%)

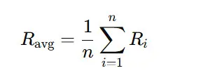
平均績效計算

計算邏輯說明:
- 簡單平均報酬率公式:

其中 Ri 為第 i 檔基金的報酬率,n=8(共8檔基金)
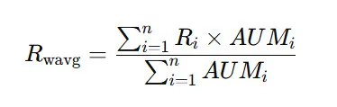
加權平均報酬率公式:

- 其中 AUMi為第 i 檔基金的規模,依據基富通2025/4/29資料概估
備註:由於未有即時完整 AUM 資料,這裡加權平均僅作「概估」推算,實際數據仍須以官方公告為準。
四、 優勢與潛在風險
優勢:
- 主動選股潛力 : 有別於市值型ETF被動持股,能在漲多時獲利了結,跌深時加碼布局。
- 策略透明具邏輯: 三因子量化選股涵蓋多種市場風格,不易受單一題材拖累。
- 團隊實力完整: 野村團隊長期表現穩定,基金評比常獲高星等。
- 季配息設計: 符合追求現金流投資人需求,可搭配領息策略使用。
風險:
- 主動選股失準 -若選股模型不合時宜,績效恐低於市場。
- 因子風格失靈 -當市場不偏好價值/動能等因子時,策略將失效。
- 操作費用較高-相對被動型ETF,管理費與手續費可能較高。
- 尚無歷史績效-無法從ETF本身回測,只能以母基金群預估。
五、 投資建議與適合對象
適合投資人:
- 看好台股長期表現,願意接受中期波動換取超額報酬者
- 認同主動管理價值,願意相信經理人選股功力
- 追求穩定現金流者(配息季度化)
- 想資產配置中增加「非被動型」資產者
結語:00980A 是否值得投資?
00980A 是台灣市場中第一檔結合「基本面深度研究」與「量化三因子選股」的主動式ETF,由野村操盤老將與團隊主導,具備強大研究背景與操作經驗。
若您對主動操作抱持正向期待,且希望打敗市值型ETF長期績效,00980A 絕對是一檔值得關注、納入核心或策略配置的潛力產品。
提醒:主動式ETF為全新產品,仍需後續持續追蹤「實際前十大持股與報酬走勢」,避免與策略設計預期出現落差。
























