屬於中華民國品質學會 品質工程師 考科 甲單元: 統計方法,佔30%
三、基本統計量數
- 平均數: 中心點之位置量數
Note: 易受極端值影響 - 中位數: 一個分配中心點位置的值 (及左右各佔50%)
- 眾數: 出現最多次數的數據
Note: 不一定有眾數、眾數可能有兩個以上 - 全距: 最大值-最小值
Note: 量測之數量不能太多,一般在10或15以下;計算方便但不構靈敏且易受極端值影響 - 母體變異數及母體標準差

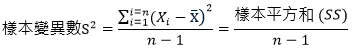
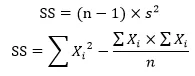
- 不偏變異數 (V) 或樣本變異數及樣本標準差

Note: 樣本平方和其他算法 (上課時滿強調但考試沒遇過)

- 變異係數 (Coefficient of variation, CV.) → 可用於不同群體的變異程度





















