前言
本文說明如何使用 NTC 作為溫度感測器,並提供相應的電路設計步驟。TI 的技術文件(SBOA323)中,計算流程是以最終求得參考電壓 VREF 為目標。然而,在某些應用情境中,可能需使用電路板上既有的參考電壓,此時原有設計流程便不再適用。為此,本文提出一套新的設計方法,以預設參考電壓為前提,並將運算放大器的輸入與輸出範圍納入計算參數。最後,並提供計算工具供讀者使用。
電路設計
本文提出的設計邏輯與方法包含:
- 以固定參考電壓為起點,反推電路參數配置
- 考量運算放大器的輸入輸出範圍,避免超出規格導致失效
- 建議使用幾何平均法選取 R1,兼顧設計簡化與性能平衡
設計目標如下(詳見表 1):
- 感測溫度範圍:指 NTC 所處位置的實際溫度變化範圍。
- 參考電壓:由系統預先給定。
- 輸入與輸出電壓:使用運算放大器時,須確保其輸入與輸出端的電壓符合規格書所定義的操作範圍。以 TLV9002 為例,其輸入電壓範圍為 0.1V 至 (VDD - 0.1V)。

表1:系統參數與設計目標

圖2:非反向輸入的運算放大器電路 (來源:TI 的技術文件 SBOA323)
計算步驟
電路的輸出電壓公式如下,

步驟 1:取得 NTC 阻值
以 TKS 的 TSM1B103F3381RZ 為例,根據其電阻-溫度曲線或表格,取得上下限溫度對應的阻值。

步驟 2:計算 R1
根據分壓公式,當 R1 為最大值且 RNTC 為最小值時,可得最大非反向輸入電壓 V+_max;反之,當 R1 為最小值且 RNTC 為最大值時,可得最小 V+_min。

整理後得,


整理後得,


將 R1_max 與 R1_min 取幾何平均後,選定標準阻值 R1 = 2.8kΩ,以兼顧設計簡化。
步驟 3:計算輸入電壓範圍
根據步驟 2 選定的 R1 代入公式,確認是否符合運算放大器的輸入規格。


步驟 4:計算 R3
根據選定的 R2,並參考附錄公式推導,計算所需的 R3 值。


選定標準阻值 R3 = 430Ω。
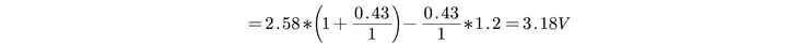
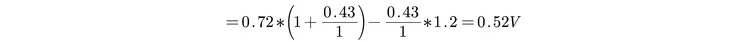
步驟 5:計算 VO_max 與 VO_min
根據前述參數,分別計算電路的最大與最小輸出電壓,並確認是否落在放大器的輸出範圍內。




附錄
R3 公式推導
根據公式(1),當 V+ 為最大值時,可推導出對應的輸出電壓 VO_max,並將 R3 移項至等式左側。





試算工具
結論
本文針對在既有參考電壓(VREF)條件下設計 NTC 溫度感測電路的挑戰,提出一套完整且可實作的設計流程。傳統設計多以計算 VREF 為核心,但在某些應用中,VREF已由系統預設,導致原有方法無法套用。本文即針對此問題,提供一套以「固定 VREF 為前提」的設計邏輯,並納入運算放大器的輸入與輸出範圍限制,確保電路在實際操作中具備穩定性與可行性。




















