
- (loop):任意一個封閉路徑,不會重複經過同一節點。例如圖中的abefa、bcdeb、abcdefa。
- (mesh):一個不包含其他迴路的最小迴路。例如圖中的abefa、bcdeb。
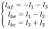
每一個支路電流可以表示成迴路電流的線性組合。
上圖中,可以寫出如下關係式:
但事實上,我們不一定需要 3 個,因為支路數與節點數之間有數學關係。對於任意電路,最少需要的迴路電流數為:

其中B為支路數、N為節點數。
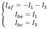
所以以上圖來說,電路只需要 L = 7 - (6 - 1),也就是2 個獨立迴路電流,就能表示所有支路電流,例如只取兩電流 I1、I3 列式:

不過此時要特別注意:

可以看出有一電流源大小為I,我們可以將其設為abef的迴路電流,不過此時就不能設定bcde的迴路電流也同樣等於I,所以這裡我們必須選一個「不穿過電流源」的迴路電流Ix,這方法稱為supermesh,稍後會在範例中練習到。
好,現在我們知道每一個支路電流可以表示成迴路電流的線性組合。而迴路電流式則利用KVL 建立方程式,馬上來練習幾題:



最後看一題supermesh的題型:





















