x極限值(三)

更新 發佈閱讀 1 分鐘
vocus|新世代的創作平台



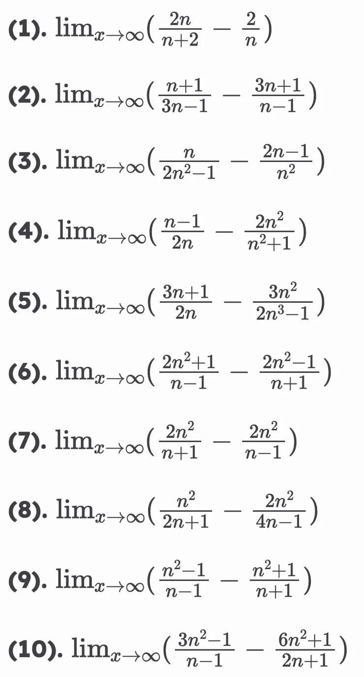
解答:

vocus|新世代的創作平台



留言
avatar-img
WilliamP的沙龍
16會員
621內容數
歡迎來到 WilliamP 的沙龍天地,在這裡將與各位讀者探討各種主題,包刮高中數學題庫、PHP開發經驗、LINE聊天機器人開發經驗、書摘筆記等,歡迎交流!
WilliamP的沙龍的其他內容
2025/11/08
高中數學主題練習—x極限值
Thumbnail
2025/11/08
高中數學主題練習—x極限值
Thumbnail
2025/11/08
高中數學主題練習—x極限值
Thumbnail
2025/11/08
高中數學主題練習—x極限值
Thumbnail
2025/11/08
高中數學主題練習—已知極限求ab
Thumbnail
2025/11/08
高中數學主題練習—已知極限求ab
Thumbnail
看更多
你可能也想看
Thumbnail
在現今教育環境中,越來越多家長希望孩子能夠 自主學習,但同時又擔心缺乏同儕互動與團體合作的機會。位於 台南市安南區 的 上華蒙特梭利國高中部,正是這樣一個 結合自學與團體學習 的理想環境! 我們提供 每日英文外師教學,培養學生的語言能力與國際視野,搭配 專業數學教學,幫助學生在國高中階段打好學術基
Thumbnail
在現今教育環境中,越來越多家長希望孩子能夠 自主學習,但同時又擔心缺乏同儕互動與團體合作的機會。位於 台南市安南區 的 上華蒙特梭利國高中部,正是這樣一個 結合自學與團體學習 的理想環境! 我們提供 每日英文外師教學,培養學生的語言能力與國際視野,搭配 專業數學教學,幫助學生在國高中階段打好學術基
Thumbnail
113年度第三梯次就業服務專業人員乙級技術士技能檢定學、術科測試,如期於11月3日(星期日)舉行,本梯次考試學科單選60題(內含共同科目16題)、複選20題(全部專業科目);其中工作項目01職業介紹及人力仲介【單選題出28題;複選題10題】;工作項目02招募【單選題出8題;複選題5題】;工作項目03
Thumbnail
113年度第三梯次就業服務專業人員乙級技術士技能檢定學、術科測試,如期於11月3日(星期日)舉行,本梯次考試學科單選60題(內含共同科目16題)、複選20題(全部專業科目);其中工作項目01職業介紹及人力仲介【單選題出28題;複選題10題】;工作項目02招募【單選題出8題;複選題5題】;工作項目03
Thumbnail
本文說明高一升高二學生在數學學習上面臨的挑戰,教師如何透過整合餐旅課程來提升學生的學習動機。 如何將數學應用於實際的餐旅課程中,例如烘焙成本計算和材料比例,進而提升學生的學習參與度。 這樣的跨領域教學策略不僅促進了學生的數學能力,也加深了他們對餐旅業的瞭解。
Thumbnail
本文說明高一升高二學生在數學學習上面臨的挑戰,教師如何透過整合餐旅課程來提升學生的學習動機。 如何將數學應用於實際的餐旅課程中,例如烘焙成本計算和材料比例,進而提升學生的學習參與度。 這樣的跨領域教學策略不僅促進了學生的數學能力,也加深了他們對餐旅業的瞭解。
Thumbnail
5 月將於臺北表演藝術中心映演的「2026 北藝嚴選」《海妲・蓋柏樂》,由臺灣劇團「晃晃跨幅町」製作,本文將以從舞台符號、聲音與表演調度切入,討論海妲・蓋柏樂在父權社會結構下的困境,並結合榮格心理學與馮.法蘭茲對「阿尼姆斯」與「永恆少年」原型的分析,理解女人何以走向精神性的操控、毀滅與死亡。
Thumbnail
5 月將於臺北表演藝術中心映演的「2026 北藝嚴選」《海妲・蓋柏樂》,由臺灣劇團「晃晃跨幅町」製作,本文將以從舞台符號、聲音與表演調度切入,討論海妲・蓋柏樂在父權社會結構下的困境,並結合榮格心理學與馮.法蘭茲對「阿尼姆斯」與「永恆少年」原型的分析,理解女人何以走向精神性的操控、毀滅與死亡。
Thumbnail
《轉轉生》(Re:INCARNATION)為奈及利亞編舞家庫德斯.奧尼奎庫與 Q 舞團創作的當代舞蹈作品,結合拉各斯街頭節奏、Afrobeat/Afrobeats、以及約魯巴宇宙觀的非線性時間,建構出關於輪迴的「誕生—死亡—重生」儀式結構。本文將從約魯巴哲學概念出發,解析其去殖民的身體政治。
Thumbnail
《轉轉生》(Re:INCARNATION)為奈及利亞編舞家庫德斯.奧尼奎庫與 Q 舞團創作的當代舞蹈作品,結合拉各斯街頭節奏、Afrobeat/Afrobeats、以及約魯巴宇宙觀的非線性時間,建構出關於輪迴的「誕生—死亡—重生」儀式結構。本文將從約魯巴哲學概念出發,解析其去殖民的身體政治。
Thumbnail
這是一場修復文化與重建精神的儀式,觀眾不需要完全看懂《遊林驚夢:巧遇Hagay》,但你能感受心與土地團聚的渴望,也不急著在此處釐清或定義什麼,但你的在場感受,就是一條線索,關於如何找著自己的路徑、自己的聲音。
Thumbnail
這是一場修復文化與重建精神的儀式,觀眾不需要完全看懂《遊林驚夢:巧遇Hagay》,但你能感受心與土地團聚的渴望,也不急著在此處釐清或定義什麼,但你的在場感受,就是一條線索,關於如何找著自己的路徑、自己的聲音。
Thumbnail
本文分析導演巴里・柯斯基(Barrie Kosky)如何運用極簡的舞臺配置,將布萊希特(Bertolt Brecht)的「疏離效果」轉化為視覺奇觀與黑色幽默,探討《三便士歌劇》在當代劇場中的新詮釋,並藉由舞臺、燈光、服裝、音樂等多方面,分析該作如何在保留批判核心的同時,觸及觀眾的觀看位置與人性幽微。
Thumbnail
本文分析導演巴里・柯斯基(Barrie Kosky)如何運用極簡的舞臺配置,將布萊希特(Bertolt Brecht)的「疏離效果」轉化為視覺奇觀與黑色幽默,探討《三便士歌劇》在當代劇場中的新詮釋,並藉由舞臺、燈光、服裝、音樂等多方面,分析該作如何在保留批判核心的同時,觸及觀眾的觀看位置與人性幽微。
Thumbnail
✨【上華蒙特梭利國高中成果展現】✨ 上華蒙特梭利實驗國高中持續帶領孩子們在多元學習中成長,最近更是收穫豐碩,孩子們的表現令人驚艷!梧桐家學生在嘉義參加了「嘉義拍奇幻旅程-影片徵選活動 (Movie Slate)」,以優異的影音作品奪得金質獎 (Sparkle)!由嘉義縣環保局副局長楊啟明親自頒獎,
Thumbnail
✨【上華蒙特梭利國高中成果展現】✨ 上華蒙特梭利實驗國高中持續帶領孩子們在多元學習中成長,最近更是收穫豐碩,孩子們的表現令人驚艷!梧桐家學生在嘉義參加了「嘉義拍奇幻旅程-影片徵選活動 (Movie Slate)」,以優異的影音作品奪得金質獎 (Sparkle)!由嘉義縣環保局副局長楊啟明親自頒獎,
追蹤感興趣的內容從 Google News 追蹤更多 vocus 的最新精選內容追蹤 Google News