三元一次聯立方程組a值討論(一)

更新 發佈閱讀 1 分鐘
vocus|新世代的創作平台
vocus|新世代的創作平台



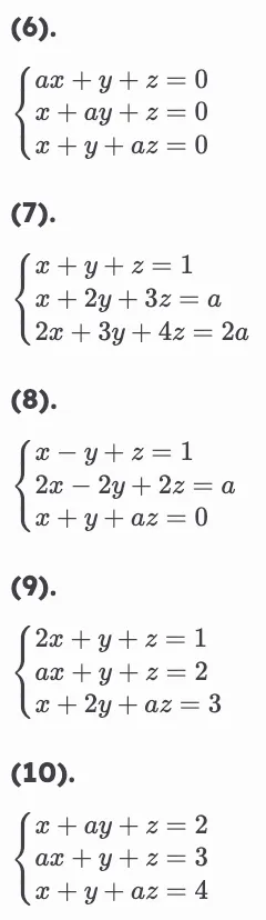
解答:

vocus|新世代的創作平台
vocus|新世代的創作平台




留言
avatar-img
WilliamP的沙龍
16會員
621內容數
歡迎來到 WilliamP 的沙龍天地,在這裡將與各位讀者探討各種主題,包刮高中數學題庫、PHP開發經驗、LINE聊天機器人開發經驗、書摘筆記等,歡迎交流!
WilliamP的沙龍的其他內容
2025/11/09
高中數學主題練習—求內角平分線長
Thumbnail
2025/11/09
高中數學主題練習—求內角平分線長
Thumbnail
2025/11/08
高中數學主題練習—對數函數性質
Thumbnail
2025/11/08
高中數學主題練習—對數函數性質
Thumbnail
2025/11/08
高中數學主題練習—x極限值
Thumbnail
2025/11/08
高中數學主題練習—x極限值
Thumbnail
看更多
你可能也想看
Thumbnail
這是一場修復文化與重建精神的儀式,觀眾不需要完全看懂《遊林驚夢:巧遇Hagay》,但你能感受心與土地團聚的渴望,也不急著在此處釐清或定義什麼,但你的在場感受,就是一條線索,關於如何找著自己的路徑、自己的聲音。
Thumbnail
這是一場修復文化與重建精神的儀式,觀眾不需要完全看懂《遊林驚夢:巧遇Hagay》,但你能感受心與土地團聚的渴望,也不急著在此處釐清或定義什麼,但你的在場感受,就是一條線索,關於如何找著自己的路徑、自己的聲音。
Thumbnail
5 月將於臺北表演藝術中心映演的「2026 北藝嚴選」《海妲・蓋柏樂》,由臺灣劇團「晃晃跨幅町」製作,本文將以從舞台符號、聲音與表演調度切入,討論海妲・蓋柏樂在父權社會結構下的困境,並結合榮格心理學與馮.法蘭茲對「阿尼姆斯」與「永恆少年」原型的分析,理解女人何以走向精神性的操控、毀滅與死亡。
Thumbnail
5 月將於臺北表演藝術中心映演的「2026 北藝嚴選」《海妲・蓋柏樂》,由臺灣劇團「晃晃跨幅町」製作,本文將以從舞台符號、聲音與表演調度切入,討論海妲・蓋柏樂在父權社會結構下的困境,並結合榮格心理學與馮.法蘭茲對「阿尼姆斯」與「永恆少年」原型的分析,理解女人何以走向精神性的操控、毀滅與死亡。
Thumbnail
這幾天剛好看到 V 神介紹有關平方支付的文章,他基於平方投票法的概念,提出了平方募資法的概念,冬冬發現有平方募資法有些部分可以用高中數學就可以解釋了,因此想針對這個內容進行一些探討。前面會簡單的介紹各種概念,比較沒有數學的內容,相關的數學證明會放在最後,有興趣的朋友可以看看哦!
Thumbnail
這幾天剛好看到 V 神介紹有關平方支付的文章,他基於平方投票法的概念,提出了平方募資法的概念,冬冬發現有平方募資法有些部分可以用高中數學就可以解釋了,因此想針對這個內容進行一些探討。前面會簡單的介紹各種概念,比較沒有數學的內容,相關的數學證明會放在最後,有興趣的朋友可以看看哦!
Thumbnail
113年度第三梯次就業服務專業人員乙級技術士技能檢定學、術科測試,如期於11月3日(星期日)舉行,本梯次考試學科單選60題(內含共同科目16題)、複選20題(全部專業科目);其中工作項目01職業介紹及人力仲介【單選題出28題;複選題10題】;工作項目02招募【單選題出8題;複選題5題】;工作項目03
Thumbnail
113年度第三梯次就業服務專業人員乙級技術士技能檢定學、術科測試,如期於11月3日(星期日)舉行,本梯次考試學科單選60題(內含共同科目16題)、複選20題(全部專業科目);其中工作項目01職業介紹及人力仲介【單選題出28題;複選題10題】;工作項目02招募【單選題出8題;複選題5題】;工作項目03
Thumbnail
《轉轉生》(Re:INCARNATION)為奈及利亞編舞家庫德斯.奧尼奎庫與 Q 舞團創作的當代舞蹈作品,結合拉各斯街頭節奏、Afrobeat/Afrobeats、以及約魯巴宇宙觀的非線性時間,建構出關於輪迴的「誕生—死亡—重生」儀式結構。本文將從約魯巴哲學概念出發,解析其去殖民的身體政治。
Thumbnail
《轉轉生》(Re:INCARNATION)為奈及利亞編舞家庫德斯.奧尼奎庫與 Q 舞團創作的當代舞蹈作品,結合拉各斯街頭節奏、Afrobeat/Afrobeats、以及約魯巴宇宙觀的非線性時間,建構出關於輪迴的「誕生—死亡—重生」儀式結構。本文將從約魯巴哲學概念出發,解析其去殖民的身體政治。
Thumbnail
大家常常說,比特幣每四年會減半、總量有 2100 萬個,但是礦工每天都在挖,那比特幣減半的時間和它的總量是怎麼算出來的呢? 其實,只要利用高中的數學就可以算出來囉!我們一起來看看吧!
Thumbnail
大家常常說,比特幣每四年會減半、總量有 2100 萬個,但是礦工每天都在挖,那比特幣減半的時間和它的總量是怎麼算出來的呢? 其實,只要利用高中的數學就可以算出來囉!我們一起來看看吧!
Thumbnail
本文分析導演巴里・柯斯基(Barrie Kosky)如何運用極簡的舞臺配置,將布萊希特(Bertolt Brecht)的「疏離效果」轉化為視覺奇觀與黑色幽默,探討《三便士歌劇》在當代劇場中的新詮釋,並藉由舞臺、燈光、服裝、音樂等多方面,分析該作如何在保留批判核心的同時,觸及觀眾的觀看位置與人性幽微。
Thumbnail
本文分析導演巴里・柯斯基(Barrie Kosky)如何運用極簡的舞臺配置,將布萊希特(Bertolt Brecht)的「疏離效果」轉化為視覺奇觀與黑色幽默,探討《三便士歌劇》在當代劇場中的新詮釋,並藉由舞臺、燈光、服裝、音樂等多方面,分析該作如何在保留批判核心的同時,觸及觀眾的觀看位置與人性幽微。
Thumbnail
歡迎來到Kangaroo的blog! 今天要來分享高中數學的學習資源吧! 那我們繼續看下去吧!
Thumbnail
歡迎來到Kangaroo的blog! 今天要來分享高中數學的學習資源吧! 那我們繼續看下去吧!
Thumbnail
文/李家同 我一直感覺到現在很多高中的數學考題奇難無比,因此我設法打聽了一所學校某一次考試的數學平均分數。果真這份數學考卷的全校平均不到25分,真使我感慨萬分。 試想,一個學生拿到一份考卷,可能只有十幾分,他會對自己仍有信心嗎?
Thumbnail
文/李家同 我一直感覺到現在很多高中的數學考題奇難無比,因此我設法打聽了一所學校某一次考試的數學平均分數。果真這份數學考卷的全校平均不到25分,真使我感慨萬分。 試想,一個學生拿到一份考卷,可能只有十幾分,他會對自己仍有信心嗎?
追蹤感興趣的內容從 Google News 追蹤更多 vocus 的最新精選內容追蹤 Google News