「前事不忘,後事之師」,然而歷史總是不斷重演。
有關「食品安全」,不久以前的「蘇丹紅」事件剛落幕,卻又發生了「芬普尼」事件,「前事不忘,後事之師」,然而歷史總是不斷重演。芬普尼的由來
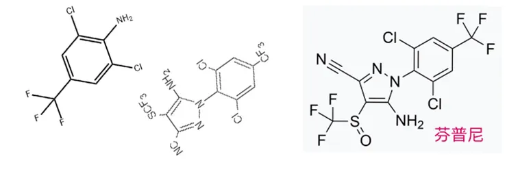
1980 年代,法國農化公司 Rhône-Poulenc Agro 合成了一種新型殺蟲劑,命名為「芬普尼(Fipronil)」,分子式為C12H4Cl2F6N4OS,化學名稱為 5-氨基-1[2,6-二氯-4-(三氟甲基)苯基]-4[(三氟甲基)硫氧基]-1H-吡唑-3-碳腈。這類殺蟲劑屬於苯基吡唑(phenylpyrazole) 化合物,並非天然成分,而是完整的化學合成產物,可由 2,6-二氯-4-三氟甲基苯胺出發,經過硫氧化、硫氯化、硝化、碳氰化等多步驟合成。

芬普尼的合成途徑
芬普尼的分子結構設計藍圖為:具高脂溶性,它會干擾昆蟲的神經系統,讓神經系統無法抑制興奮,使昆蟲出現過度興奮、麻痺以至於死亡,且能達到「快速致死」的效果。另一個特性是:「連鎖殺」的效果——中毒的昆蟲會將毒素殘留在體內,其他同伴若接觸或取食其屍體,也可能連帶中毒身亡,會讓整個蟲群受到消滅。也正因如此,它的應用迅速從農業擴展到家用驅蟲、建築防蟲、寵物跳蚤滴劑 (蚤不到) 等領域。
芬普尼的化學作用與毒性
芬普尼的主要作用,能專一性作用於昆蟲神經細胞中的抑制性神經傳導物質 GABA (γ-胺基丁酸) 受體,阻斷GABA_A 氯離子通道。一旦氯離子無法流入細胞,昆蟲就會發生神經過度興奮、失去控制、抽搐,最後死亡。然而,哺乳動物(包括人類)同樣具有 GABA_A 受體,只是敏感度較低。雖然人類的 GABA 受體對芬普尼的親和力較低,少量誤食通常不會立即中毒,但芬普尼是脂溶性毒物,容易累積在動物的脂肪組織,部分代謝物「芬普尼亞楓」,甚至比原化合物毒性更強、降解更慢,在體內停留的時間更長,不易分解。高劑量、長期攝入仍可能造成肝、腎、甲狀腺與神經系統負擔,可能引發神經症狀(如頭暈、噁心、焦慮),並影響肝臟功能。除了昆蟲,對魚、蝦、鳥類等其他生物也可能造成神經行為改變、荷爾蒙失調等影響。

芬普尼的主要作用在阻斷GABA_A 氯離子通道
因此,芬普尼因此被許多國家視為「高風險農藥」,在農作物上的使用受到嚴格限制,各國皆明文禁止其用於食用動物(如雞、豬、牛)的飼養過程中,以防止殘留進入食物鏈。
環境與食品中的芬普尼
芬普尼本來主要用於作物害蟲防治;但在實務中,它也曾被濫用於畜禽環境防蟲,例如在雞舍中噴灑以消滅壁蝨或跳蚤,在土壤中半衰期可達125天以上,在水中亦不易分解,具生物累積性與環境殘留風險。若使用不當,藥劑可能污染飼料、飲水或雞體表面,最終進入雞蛋。芬普尼具高度脂溶性,容易累積在動物體內。其代謝產物仍具毒性,加上不會因加熱而分解,使其成為食品鏈中的潛在風險。
簡言之,芬普尼雖是針對昆蟲設計,但在哺乳類也具一定毒性風險,特別是在誤用、高量暴露或長期累積情況下。
歷史的反覆:從歐盟到台灣
歷史總是驚人的相似與反覆性。2017 年,歐洲爆發大規模「芬普尼雞蛋風波」,多國雞蛋檢出殘留,造成數千萬顆蛋下架、銷毀,連鎖效應遍及歐盟與亞洲多地。2018–2023 年:亞洲多國間歇檢出受污染蛋品。2024–2025年間,臺灣也陸續發生市售雞蛋檢出芬普尼或其代謝物超標的事件。部分洗選場批號被公告回收,相關畜牧場接受調查並進行後續採樣。在每一波事件中,都呈現同樣的模式:不當使用殺蟲劑 →食品鏈污染 →市場回收 →產業損失、信任危機。正如蘇丹紅事件一般,食品安全問題只要稍有鬆懈,便可能再次爆發。
檢驗與監控:如何抓出芬普尼?
我國對禽蛋中芬普尼(及其代謝物)的殘留標準(MRL)訂為 0.01 ppm(10 ppb);超標者不得上架販售,違者可依《食品安全衛生管理法》或《動物用藥品管理法》處罰、沒入銷毀並移送檢調。能測出0.01 ppm濃度汙染物的儀器種類除了LC/MS/MS、GC/MS/MS之外並不多。
與其檢驗產品數量多又雜,倒不如從源頭管控做起,如前所敘,芬普尼可以使用於動、植物、環境的防蟲害,成了一個三不管的灰色地帶,實施的農藥實名制,也利於市場監管,得以更確實地抓出問題蛋品。
消費者該如何面對?
國際毒理評估(JMPR)為芬普尼訂定之可容許每日攝入量(ADI)為 0–0.0002 mg/kg bw/day,以50公斤的成人為例,芬普尼最大安全攝入量為0.01毫克。這次雞蛋中檢出濃度為0.03ppm (0.03mg/kg),以每顆雞蛋重約60克(0.06kg)計,每顆雞蛋約含0.0018毫克芬普尼,要吃超過5.6顆雞蛋才會超出每日容許攝取量。短期超出每日容許攝取量並不等同立即急性中毒,但仍屬法規上超標,不宜長期累積攝入。若發現噁心、嘔吐、頭暈、出汗、抽搐等神經系統症狀;則需送醫處以支持性療法。
項目 計算方式 數值
每顆蛋芬普尼含量 0.03mg / kg x 0.06kg 0.0018 mg
50kg人體每日容許量 0.0002mg / kg X 50kg 0.01 mg
安全食用上限 0.01 mg / 0.0018mg = 5.56 約 5顆蛋/天
以下是最實際的建議:
- 查看蛋殼溯源碼:若與政府公告批號一致,請立即停止食用並退貨。
- 不要依賴「煮熟」去除芬普尼:加熱無法有效分解。
- 若已食用且無症狀,不需恐慌:大多屬低暴露。
- 若出現噁心、頭暈、抽搐等症狀,請即刻就醫並告知可能攝入芬普尼。
- 持續關注 TFDA 與地方衛生局公告。

看懂芬普尼
結語
食品安全是一場永遠不會結束的長跑。從「蘇丹紅」到「芬普尼」,歷史一次又一次提醒我們:
人們很容易遺忘,而風險也因此容易重演。
未來仍有更多挑戰等待面對,而最重要的,是在事件發生後,能夠補漏洞、建制度、不重蹈覆轍。
你的鼓勵是我創作的源泉,請不吝給個小愛心。

















