如果您最近打開臉書,可能會被某食農粉專的標題嚇出一身冷汗:「養貓可能讓罹患思覺失調症的風險增加一倍」。看著家裡那隻正在呼嚕呼嚕的主子,難道牠真的是潛伏在身邊的「精神殺手」嗎?

圖片擷取自臉書。
身為愛貓人兼科學愛好者,我仔細讀了這篇發表在《Schizophrenia Bulletin》上的原始論文,發現案情並不單純。這是一個經典的「盡信書不如無書」的統計學案例。
首先,嚇人的結論是怎麼來的?
這個由澳洲昆士蘭心理健康研究中心進行的研究,統合了過去 44 年來、來自 11 個國家的 17 篇論文。研究團隊將所有數據丟進統計模型後發現:廣義的貓隻接觸,與思覺失調相關疾病的發生風險之間,存在正向關聯(Odds Ratio = 2.14)。
換句話說,從數據上看起來,有養貓(或接觸過貓)的人,罹患精神疾病風險是沒養貓者的 2.14 倍。
等等!這個數據有問題
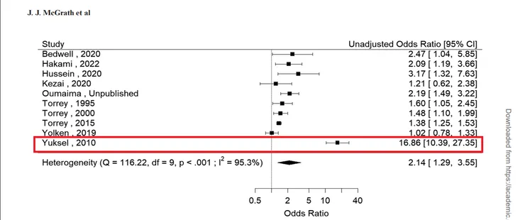
但是,當我們拆解這些數據來源時,發現了一個巨大的統計陷阱:「離群值(Outlier)」。
在這 17 篇研究中,絕大多數計算出的風險倍數都在 1 到 3 之間,唯獨有一篇 2010 年來自土耳其的研究(Yuksel et al.,紅框是我加的),居然得出了16.86 倍 的驚人風險值!就是這篇極端特殊的數據,硬生生把全班平均分拉高了。

圖片擷取自論文。
其實,這篇統合分析的作者自己也承認,一旦剔除這篇極端的土耳其研究,整體的風險倍數馬上從 2.14 降到了1.56。
更重要的是,來自英國與芬蘭的高品質「出生世代研究」(這類研究追蹤時間長、樣本控制嚴格)顯示,一旦考慮了社經地位、居住環境等因素,養貓與精神疾病的關聯性就消失了。
真兇是「弓漿蟲」,但你知道「新鮮貓便」其實不太毒嗎?
為什麼會有人研究養貓與精神疾病的關連呢?其實這整個假說的核心,是擔心貓咪身上的弓漿蟲(Toxoplasma gondii)。理論上,人被感染後,寄生蟲可能影響腦部。
但這裡有一個很多鏟屎官都不知道的冷知識:
雖然弓漿蟲的蟲卵(oocysts)的確會隨貓糞排出,但它們剛排出來的時候是沒有感染力(unsporulated)的!這些蟲卵通常需要在環境中經過1 至 5 天的「孢子化(sporulation)」過程,才會變成具有感染力的壞東西。
這意味著,如果你每天都有乖乖鏟貓砂,就算你的貓真的帶原,你也幾乎不會因為清理貓砂而感染。因為你都在蟲卵「變身」成功之前,就把這坨「新鮮的便便」丟掉了。當然,戴著手套清貓砂就會更安全。
比起怕貓,你更該怕生肉
根據流行病學證據,人類感染弓漿蟲的主要途徑,其實是食用未煮熟的肉類(生豬肉、牛排三分熟)或是接觸被汙染的土壤(園藝活動),直接被家貓傳染的機率其實相對較低。
所以,為了保護自己(也保護貓咪),請遵守以下黃金法則:
1. 每天(戴手套)清理貓砂(每日一鏟,蟲卵滾蛋)。
2. 肉類徹底煮熟再吃,處理生肉後的砧板要洗乾淨。
3. 玩土、種花時戴手套,結束後務必洗手。
4. 盡量把主子養在室內,餵食乾飼料或罐頭,避免牠們去抓老鼠吃(老鼠是貓感染的源頭)。把主子養在室內好處多多,一方面可以避免讓主子感染弓漿蟲(以及其他沒有疫苗也不容易治癒的貓病),一方面主子也沒有機會去抓外面的動物破壞生態;另外,有些人並不是那麼喜歡貓,所以不讓主子出門也可以避免受傷。

圖片作者:NotebookLM
這篇研究雖然是一個警訊,提醒我們注意環境衛生,但絕不是給貓咪定罪的判決書。只要養成良好的衛生習慣,貓咪依然是你維持心理健康最好的「抗憂鬱劑」,而不是風險因子。請安心吸貓吧!
參考文獻:
McGrath JJ, Lim CCW, Saha S. Cat Ownership and Schizophrenia-Related Disorders and Psychotic-Like Experiences: A Systematic Review and Meta-Analysis. Schizophr Bull. 2024 Apr 30;50(3):489-495. doi: 10.1093/schbul/sbad168. Erratum in: Schizophr Bull. 2024 Apr 30;50(3):720-721. doi: 10.1093/schbul/sbae027.

















