🔐 量子秘密分享(Quantum Secret Sharing, QSS)
量子秘密分享(QSS)是把古典秘密分享概念搬到量子世界:
🔑 利用量子糾纏🤝 多方合作才能恢復秘密
❌ 單獨無法獲得資訊
本質是:
「量子態」的門檻存取控制
一、基本想法
古典 Shamir:
多項式 → k 個點 → 重建
量子版本:
糾纏態 → k 個量子子系統 → 重建
核心差別:
- 古典:複製分享
- 量子:不能複製(no-cloning theorem)
因此:
QSS 必須使用量子糾纏
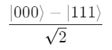
二、最簡單模型:GHZ 秘密分享
三方 A, B, C
共享 GHZ 態:

秘密編碼
秘密 bit:

編碼:
- s=0 → 原 GHZ
- s=1 → 加相位

重建
三方一起測量 → 可得相位 → 得秘密。
單方:
reduced density matrix = maximally mixed
→ 完全無資訊。
三、資訊論安全性
量子安全性來自:
🔹 No-cloning theorem
無法複製量子分享。
🔹 Monogamy of entanglement
糾纏不可被無限分散。
🔹 Reduced state randomness
部分系統:

→ 沒有秘密資訊。
四、一般 (k,n) 量子秘密分享
一般 QSS 可視為:
量子錯誤更正碼(QECC)
對應:

五、重要構造
1️⃣ Stabilizer QSS
用 stabilizer code:
- logical qubit
- physical qubits
分享 = codeword。
2️⃣ CSS-based QSS
用 classical code:
- C1
- C2
構造量子分享。
3️⃣ Graph-state QSS
用量子圖態:
- 節點 = 參與者
- 邊 = 糾纏
六、直觀幾何理解
古典:
多項式曲線
量子:
高維 Hilbert 空間子空間
秘密 = 子空間投影。
七、與量子糾纏關係
QSS 本質上利用:
多體糾纏
單體無資訊
整體才有資訊
這與:
- Bell 非定域性
- 量子 holography
類似。
八、與量子誤差更正的等價
一個重要定理:
每個 pure-state QSS
等價於 QECC
原因:
- unauthorized → erased qubits
- authorized → recovery map
九、應用
🔹 量子金鑰管理
- 分散 quantum key
🔹 分散量子計算
- quantum MPC
🔹 量子網路
- secure quantum cloud
🔹 量子區塊鏈(概念)
- quantum consensus
十、與前面討論的連結
之前討論問題:
- 秘密分享
- 量子糾纏
- 資訊宇宙
QSS 告訴我們:
秘密 = 系統整體性質
而非局部性質
這是量子 holism。
十一、哲學含義
QSS 展示:
知識可以是「非局域存在」
單一觀察者:
無法獲知
合作觀察者:
真理浮現
這與:
- 社會共識
- holographic principle
- emergent reality
非常一致。
十二、一句話總結
量子秘密分享 = 用糾纏實現的門檻知識


















