一般人大學畢業時約22歲,如果又讀了兩年研究所,服一年兵役,開始第一份全職工作時已經24、25歲了。如果想在30歲就達到財務自由,那豈不是只剩下短短五六年的工作時間能夠用來累積財富?在這麼短的時間內,不靠投機、不靠爸媽,只靠著自己全職工作的收入,有可能辦到嗎?
我以自身的經驗告訴你:完全有可能。我從25歲正式開始工作,不斷地累積財富,在30歲前我的淨資產就達到了當初給自己設定的財務自由目標。如果你快要、或是已經超過30歲,也沒有關係。這篇文章將會告訴你該如何設定一個簡單可執行的目標,並預估自己何時能上岸達到財務自由。
如何才算達到財務自由?
財務自由是指你無需為生活開銷而努力為錢工作的狀態。簡單地說,你的資產產生的被動收入必須要至少等於你的日常開支。
如果你每個月的所有開銷是五萬元,那麼你的資產每年必須要能至少帶給你60萬的被動收入,你才能算是達到財富自由。至於每個月的開銷多少才算是合理呢?我覺得你不妨就用你現在每個月的開銷來計算吧。了解自己的錢花到哪裡、花了多少,可是理財的第一步呢。
被動收入的來源有很多,常見的有股票股利、債券利息、不動產租金等。知道了被動收入的數字後,簡單的假設投資組合的報酬率是4%,就能夠推算出必須要有多少資產。所以,以每年60萬被動收入為例,你需要累積到1500萬元的資產,才算是達到財務自由。
至於為什麼假設投資組合的回報率是4%,這是一個很大的命題,我希望另外寫成一篇文章來解釋。更準確的說法應該是:不論你的投資組合報酬率是多少,你都至多只能動用當初資產的4%加上通貨膨脹 (即安全提領率),來支付日常的開銷。然而這個安全提領率應該定為多少,諾貝爾獎得主、經濟學家William F. Sharpe說這也許是金融裡最難回答的問題之一("nastiest, hardest problem in finance")。希望我能夠在未來的文章中解釋清楚。
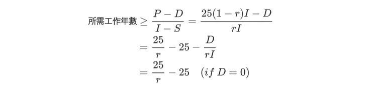
你還需要工作幾年才能達到財務自由?
將財務自由的條件以數學表示:

通過簡單的計算,可以得到所需工作年數的公式:

原來,能夠多快地達到財富自由,關鍵全在一個數字:儲蓄率。舉例來說,如果你每個月都能夠存下收入的50%,那麼既使目前存款為零,你只需要再工作25年(25/0.5 - 25)就能財務自由。
我自25歲開始工作,只花了不到五年就達到了當初設定的目標。我目前旅居於生活成本全球排名前十的城市,並以此為基礎設定了我的財務自由目標。那段期間我的每月的儲蓄率大約在75~85% (受調薪、獎金、額外消費等浮動因素影響)。事實上,如果在公式中代入 r = 0.85,也的確可以估算出從零開始只需要工作四年半這個驚人的答案。

人們總說要開源節流,短短四個字明白地指出了理財的努力方向。如果想要早一點達到財務自由,就是努力的提高儲蓄率,一方面努力學習提升工作收入,另一方面在不影響生活品質的前提下減少不必要的開支。
這個財務自由的目標是由十分簡化的計算所得出,並沒有考慮到人生各個階段的支出變化,結婚生子、疾病、衰老等帶來的額外支出。如果是以完全退休為目標,可以用更保守的2%提取率來作為財務自由的目標。用公式同樣能算出每年支出2%的話所需要的工作年數(假設存款為零)。

財務自由,然後呢?
對我而言,達到財務自由後不代表我就再也不工作了。畢竟適當的工作、有意義的工作是讓人保持身心健康的一項要素。只是當完成這個階段性目標後,我有更大的自由與信心去選擇如何運用我接下來的人生,投身於興趣所在但風險較高的事業(全職Youtuber、成立新創公司等)。從此往後的收入也可以視為閒錢,能夠用來做更積極、不怕蝕本的投資。
根據自己能接受的生活品質,選擇一個適合自己的儲蓄率,並且每個月努力的去達成它吧!
你目前的職業、居住城市、儲蓄率是多少呢?歡迎在下面留言分享。














