
睡前找小白聊個天,結果她和我提到「吃飯業務」。
她說,陪乾爹吃飯的行情是一餐10000。
我算了一下,大概是巴菲特的0.01%,不知道算貴還是便宜。
不過對我而言,價格越貴越好,這樣我找她吃飯,等於省了很多錢。
「才不是,你以為乾爹這麼好找? 沒有兩把刷子,2000元人家都嫌浪費。」
可能事業線越大,事業就越大。
小白又把一些乾爹的對話截圖給我看,有的說想送她蘋果手機,有的給了一些承諾。我沒當過乾爹,只能建議她不要太快把人家榨乾。
「你不要覺得女生什麼都不需要去努力,隨便就能夠找乾爹拿錢,這不是一個好觀念。女人還是得內在外在兼具,才有談籌碼的機會。」
「認同,不過我不在意,我其實只喜歡聽到男人買蘋果的部分。」
「我們蘋果股東,就是賺果粉的錢。」我驕傲的說。
「我們甜心寶貝,就是賺乾爹的錢。」小白回答我。
看來蘋果的juicy不錯,但乾爹的sugary也不賴 :)
Who's your daddy now?
故事說完了。
不過我在思考甜心們如何榨乾和複製營利模式的時候,心中冒出了現金流和「股息成長」的聲音。
既然各位看到這裡了,我決定介紹「高登模式」。(Gordon growth)
我們在評估一間公司的股價,會有很多種方法,其中一種是把未來所有股息都「折現」到現在。
折現,意思是說既然現金發給股東了,就不再參與公司成長。
如果我們現在就要拿光第二年、第三年、第四年和之後的所有現金,就是「殺雞取卵」,所以這些現金的價值自然會降低。
在高登模式中,我們假設公司回報和股息都穩定成長。
報酬率R(return),股息成長率G(growth),今年股息是D(dividend).
第二年的股息,折現到今天,就是

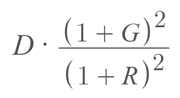
第三年的股息,折現到今天,就是

第四年的股息,折現到今天,就是

以此類推。
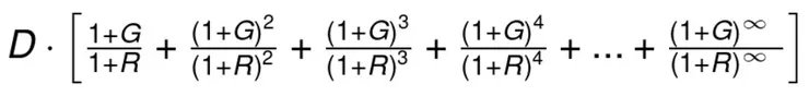
既然我決定要一次拿光公司的股利,就相當於我從現在一路拿到永遠,所以這些股息全部折現會變成以下結果。

整理後變成

然後因為是「無窮等比級數」,而且G<R,導致公比<1,所以我們可以化簡。

因此,利用高登模式,我們可以估算一間公司現在應有的股價。
但因為假設的項目太多,估價結果只能當參考。
這裡不支援LaTex真的有待改進,這次故事是真的說完了,如果有什麼疑問歡迎提出。
當然,以上純屬玩笑,請勿當真,如果你拿高登模式去估算「乾爹的現值」,不準也不要怪我。

























