前言
筆記來源於David K Lewis(二十世紀最偉大的天才哲學家)的On Plurality of Worlds(我翻譯成:論世界的多重性),上課內容是書中的1.1 The Thesis of Plurality of Worlds。On Plurality of Worlds聚焦在如何回答事物一定會成為的樣子以及事物可能成為的樣子。
因為內容是面向所有人的,所以我也會盡可能地解釋內容與術語給非分析哲學或哲學本科的人聽。另外,本文的內容可能會隨著時間推進,隨著我對Lewis的理解越加深入而修正。或者純粹我想到有什麼我應該講但沒講到的內容或我有講錯,我也會編輯修正。如果對我的內容感興趣,請不要吝嗇一讀再讀。我應該會把更正時間編輯在標題上。歷史與學術背景:
傳統形上學上討論本質與模態性質的立場是actualism,認為事物可能成為但沒有成為的可能性是以抽象的形式實際存在的。以下將稱這種可能性為「模態性質」。但Quinn認為如果這些「模態性質」是實際存在的,那麼我們應該要能夠討論它們的等同條件。於是他舉例有兩個可能出現在空間x和空間y的「模態胖子」,問我們能討論這兩個可能性的胖子是否等同嗎?他認為無法形成任何有意義的討論。如果確實如此,那麼這將蘊含(意味)著模態並不是一種實在(實際存在的事物)。
在此背景下,Quinn的學生Lewis發展出了討論模態與本質的全新學術立場——modal realism。他針對Quinn的問題的解決方法非常簡單粗暴,那就是乾脆說模態真實存在,存在於我們的時空之外無法旅行的其他世界中。聽起來很荒謬嗎?那就讓我們開始正文:1.1 The Thesis of Plurality of Worlds的課堂筆記吧。
世界是什麼?
就結論來說,對Lewis而言世界是a maximum sum of spatiotemporally interrelated objects,是在一獨立時空系統內彼此間有時空連結、能夠產生時空連結的物件的窮盡總和。
首先有幾件事情需要弄明白:
- 世界的成員:如果把世界看成是一個集合{x:(x)φ}(指這個集合包含所有具備φ這一性質的x),那麼集合的成員只能是能被時間和空間描述的事物。舉例來說:三年後出現在大安森林公園的人。可以被距離和時間描述的事物。所以什麼不是世界的成員?比方說抽象的事物如同集合和命題,無法與這個世界產生時空連結的。基本上只有具體的事物會被算進來。然後更形上學一點的例子,我們可以想「柏拉圖式的共相」。在Lewis形上學中性質更接近是亞里斯多德式的存在,也就是性質在時空中存在才存在(當然也可以產生時空連結),沒有另一個時空外的世界存在著這些性質最純粹的型態,並且有著強烈的唯名論色彩,也就是認為所有事物都是獨一無二的。當然,其他時空系統內的成員也不會是這個世界、這個時空系統的東西。最後呢,這個世界的集合必須是窮盡的。
- Humean supervenience(休謨式隨附)的世界觀:形上學上的「事實」或是「states of affairs」是指事物與性質的組合。一個性質與一個事物的組合,比方說:蘋果(事物)是紅色(性質)的。第一件事是,此處的世界觀是認為這樣的「事實」組成了我們認識的現實,像馬賽克一樣的世界。有點像是我們把蘋果變成a,紅色變成R,蘋果是紅色的變成Ra,然後有一個窮盡世間一切事實的集合W={x:(x)φ}而理所當然地Ra∈W。把這個集和形象化想像成超級龐大的馬賽克,這就是我們眼中世界的樣子。那麼supervence(隨附)在講什麼?如果我說x隨附於y,那麼我就是在說如果y沒有不同,那麼x也不會有任何不同。x的任何不同完全依附於y的不同。我們所經驗到的現實是這些原子事實構成的錯綜複雜的表象,而這表象不會有任何不同—若這些原子事實的存在與排列沒有任何不同。這就是休謨式隨附。
- 世界就是一個很大的東西而已,由很多東西組成。算是第一點的補充,但很重要。
如果到這裡都沒有問題,你應該已經理解Lewis說的「世界」是什麼了。那麼我們來談談「其他的世界」吧。
其他的世界首先呢:
- 並不在我們的時空系統內,也無法與這個世界產生任何時空連結,我們也沒辦法進行世界之間的穿梭。
- 世界之間的不同是裡面的東西的不同。前面說過世界就是一時空系統下的一堆東西所組成的很大很大的東西。其他世界也是如此......但有可能那個世界很小啦,是有可能某個時空系統下只有一間教室和六十張桌椅而已。但總之世界之間的不同就只是裡面的東西不同而已。存在不同的東西、有著不同的數量、x在不同的時間處在不同的空間......等等等,甚至到物理法則層面都有可能有所不同。
那麼世界之間有可能存在所謂「世界之間的等同」嗎?這個我們可以留到後面再說。
為什麼我們該接受世界的多重性?
聽起很荒唐,我們應該就這樣接受他說在時空之外我們無法經驗到的地方存在其他的世界,還得接受接下來他要我們通過其他世界的存在來解釋的事情?我們先來談談關於理論本身的事情吧。
理論這種東西可以粗略地劃分成兩個部分:
- ideology:是理論中的初始預設,是理論中最初接受的設定。是最不能被挑戰,也最無法被解釋的東西。舉個例子,以集合論來說就是∈、⊆。
- ontology:在此處表達的是理論所涉及的存在的事物。以集合論來說就是集合。
Lewis認為我們應該接受他的理論的理由和我們應該接受集合論的理由很相似,他的理論可以用很少的ideology(取而代之地有很多ontology)去解釋、去解決很多問題。就是說他的理論很好用啦,照他本人的說法就是:An offer you cannot refuse.
那他有給出很明確的論證去說其他世界存在嗎?被問到這個問題,教授也只是很含糊地提到了反證法而已。當你沒辦法直接證明某個東西或某件事 is a case時,你可以反過來去證明如果不是,那麼會有矛盾。藉此證明真的是這樣。用邏輯語言的說法就是說:Γ├⊥(gamma entails a contradiction)。
模態與副本
前面提到,模態性質就是x可能成為的樣子。如果這種可能性不是抽象的實際存在,那麼應該是什麼?
首先我們應該來了解什麼是counterpart(副本)。以人來做比方,其他的世界可能存在和你非常非常相似的人,甚至除了存在的時空不同以外完全相同的人。但「這個人不是你」,這是很重要的觀念。你是獨一無二的,在其他的世界中沒有其他的你,只有你的副本。無論你們有多像,他終究不會是你。雖然我用人做例子,但這個「人」可以是任何x,乃至於整個世界。這個副本的樣子,就是你可能成為的樣子。他所具備的性質,就是你的模態性質。
所有這個世界可能成為的樣子,是其他世界實際的樣子;所有其他世界實際的樣子,是我們的世界可能成為的樣子。
那誰是你的副本?我們只能循著脈絡,根據一定的條件去選定誰是你的副本。如何選定副本並沒有辦法給出很明確的標準。我只能說,如果我說「蘇格拉底可能成為一個木匠」,那你不能選擇出生在維京時代英格蘭北部當木匠的袋鼠來當蘇格拉底的副本。沒錯,中世紀英格蘭北部有袋鼠。在多重宇宙中什麼都有可能。
其他世界的任何事物,可能會和我們的世界中相對應的事物極其相似,甚至完全相同。但那個y終究不會是這個x,無論他們有多相像。這方面有很強烈的唯名論色彩,你可以理解成無論事物有多相似他們終究不是同一個東西。即便他們像到沒有辦法描述他們的不同,但他們就是不一樣。
那麼我來回應一下前面提到的世界的等同。對Lewis來說世界就是由很多具體的東西組成的很大的東西。如果循著脈絡所有東西的counterpart都和你的世界相同,具備相同的性質,在相同的時間出現在相同的地方從事相同的事件。那麼世界等同。
書中與筆記有一些關於邏輯語言的內容,需要一些基礎邏輯的基礎才能了解在講什麼,而且很大程度上有關於我下一個章節要講得東西,所以我就只簡單提一下。
模態分成:
- de re:承認事物的確具備模態性質。
- de dicto:只接受包含模態的語句為真,不接受事物具備模態性質。
有名的例子是:必然地8大於7為真、8是太陽系行星的數量為真,但必然地太陽系的行星數量為8為假。在其他的世界,可能地太陽系的行星數量不是8。
另外一點在中階邏輯的模態邏輯系統中,必然與可能的語法來自於基礎邏輯中的quantifier(量詞)。但如果直接當成量詞的話:
試想Humphrey落選了,但可能地,他會當選。也就是滿足了◇P,在某些其他世界中Humphrey當選了的意思。但...Humphrey不在別的其他世界,他只存在於我們的世界啊...?他要怎麼在其他的某些世界當選?傳統的回答是:
- Humphrey也是其他的世界的一部份。
- Humphrey的某部分(並非整個人)是另一個世界的一部份。可能他的手在那個世界然後當選了之類的。
- Humphrey不在那個世界,但他滿足了在另一個世界當選了這件事。
Lewis覺得這些回答都不好。他引進counterpart很大程度上是想回應這件事。
最後一點是關於Lewis的理論與模態邏輯不相容的部分。前面提到模態邏輯的必然與可能取自述詞邏輯系統中的量詞。在基礎邏輯中∀P├ ∃P,在模態邏輯中也□P├ ◇P,在邏輯語法上是這樣。但實際上在Lewis的理論中□P├ ◇P絕對不成立。在邏輯語法中全部都P必然蘊含(意味著)有一些P,但對Lewis來說必然就是所有世界,可能就是部分世界。必然地P、所有世界都有P絕對不蘊含只有部分世界有P。
Lewis對此的回應是......他說:這套系統有問題,你們弄一個新的啊。
可能與必然
談到模態就不能不提到兩個很重要的概念:可能與必然。前面已經提到模態性質就是你可能成為的樣子,但這個可能成為的樣子又分成了可能和必然。很直白地,必然就是說你無論如何都會成為的樣子。可能則是你有可能成為的樣子,但你不一定會成為這樣。必然的性質經常會與本質聯繫在一起。有很多種方式我們可以去理解本質,像是「x存在不能不具備的性質」,比方說x=x,或是具有相同的起源(這有很複雜的邏輯論證)。另一種方式就是必然的性質。若一種性質對於x來說是必然的,那麼這個性質也會是x的本質。
那麼我們要怎麼看可能與必然呢?
如果一個性質P在所有的世界中都被x與其副本所具備,則性質P對x來說是必然的;如果一個性質P只有在一個以上的部分世界中被x與其副本所具備,則性質P對x來說是可能的。
如果只有這樣就結束就太無聊了,我再另外補充一些模態邏輯的東西。
首先呢,可能與必然分別用◇和□表達。世界之間有可進入的關係(accessibility)。這些關係又可以細分成傳遞、自反、對稱......等等。這個accessibility可以想成在某個世界w中可以設想的世界。
我只介紹最基本的自反、對稱與傳遞。
- 自反(reflexivity):w1可以進入他自己。
- 對稱(symmetry):w1和w2可以進入彼此。
- 傳遞(transitivity):w1可以進入w2,w2可以進入w3,w1可以進入w3。
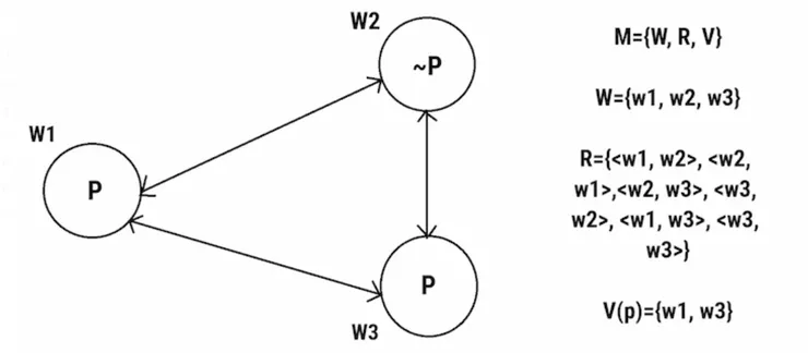
可能與必然經常是從可進入的世界去討論的,我們可以看例子:

這個模型中三個世界互為對稱關係,w1和w3也滿足了傳遞。在這個例子中我們從w1的角度看出去,除了w2以外都滿足P,那麼對於w1來說◇P是滿足的。那麼今天如果w2不存在呢?那麼所有w1可進入的世界中P都被滿足了,對於w1來說□P是滿足的。
大概就是這樣。
那麼今天就分享到這邊,謝謝大家的觀看。





















