題目敘述
題目會給定兩顆二元樹的根結點,要求我們判斷這兩顆二元樹是否為 葉子相似樹?
葉子相似樹的定義
兩顆二元樹,從左到右看的葉子結點的序列完全相同。
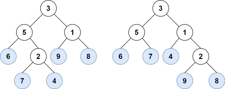
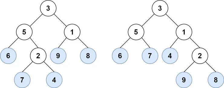
例如下圖中的這兩顆二元樹,從左到右看的葉子結點的序列 = [6, 7, 4, 9, 8] 完全相同。

測試範例
Example 1:

Input: root1 = [3,5,1,6,2,9,8,null,null,7,4], root2 = [3,5,1,6,7,4,2,null,null,null,null,null,null,9,8]
Output: true
從左到右看的葉子結點的序列 = [6, 7, 4, 9, 8] 完全相同。
Example 2:

Input: root1 = [1,2,3], root2 = [1,3,2]
Output: false
第一顆樹,從左到右看的葉子結點的序列 = [2, 3]
第二顆樹,從左到右看的葉子結點的序列 = [3, 2]
不同,返回False
約束條件
Constraints:
- The number of nodes in each tree will be in the range
[1, 200].
一顆二元樹的結點總數目介於1~200之間。
- Both of the given trees will have values in the range
[0, 200].
節點值都會介於0~200之間。
演算法
這題的破題關鍵在於「葉子結點」,而且題目又給了葉子相似樹的定義
葉子相似樹的定義
兩顆二元樹,從左到右看的葉子結點的序列完全相同。
那麼,我們只要順著題目的規定,拜訪整顆樹,依照從左到右的順序,列出每個葉子結點的值,並且比較是否完全相同即可。










