題目敘述
題目會給定一顆二元樹的根結點Root node,和指定的目標值targetSum。問我們能不能從二元樹裡面找到一條從根結點到葉子結點的路徑,其路徑上的節點值總和恰好為targetSum?
可以的話,返回True。
無解的話,返回False。
測試範例
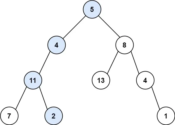
Example 1:

Input: root = [5,4,8,11,null,13,4,7,2,null,null,null,1], targetSum = 22
Output: true
Explanation: The root-to-leaf path with the target sum is shown.
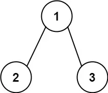
Example 2:

Input: root = [1,2,3], targetSum = 5
Output: false
Explanation: There two root-to-leaf paths in the tree:
(1 --> 2): The sum is 3.
(1 --> 3): The sum is 4.
There is no root-to-leaf path with sum = 5.
Example 3:
Input: root = [], targetSum = 0
Output: false
Explanation: Since the tree is empty, there are no root-to-leaf paths.
請注意,空樹對應到的是無解喔,要返回False
約束條件
Constraints:
- The number of nodes in the tree is in the range
[0, 5000].
結點總數目介於0~5000之間。
請留意邊界條件的處理,題目有可能給我們一顆空樹。
-1000 <= Node.val <= 1000
節點值都介於 負一千 ~ 正一千之間。
-1000 <= targetSum <= 1000
目標值targetSum 一定介於 負一千 ~ 正一千 之間。
演算法
題目已經說從二元樹裡面,看看能不能找到一條從根結點到葉子結點的路徑,其路徑上的節點值總和恰好為targetSum?
那就順著題意走,從Root node根結點出發,從上往下走,每經過一個節點,就把targetSum減去對應的結點值node.val,假如到葉子結點的時候,targetSum剛好扣完,那就表示有解,返回True。
否則,假如都找不到,代表無解,返回False。
程式碼 DFS從上到下深度優先搜索每個結點
class Solution:
def hasPathSum(self, root: Optional[TreeNode], targetSum: int) -> bool:
## Base case: Empty tree or empty node
if not root:
return False
## Base case
if not root.left and not root.right:
# we have the path with targetSum
return targetSum == root.val
## General case:
return self.hasPathSum(root.left, targetSum - root.val) or \
self.hasPathSum(root.right, targetSum - root.val)
複雜度分析 DFS從上到下深度優先搜索每個結點
時間複雜度:
從根結點開始,探索整顆樹,每個結點最多拜訪一次,所需時間為O(n)。
空間複雜度:
從根結點開始,探索整顆樹,遞迴深度最深為n,發生在整顆樹向左歪斜或向右歪斜的時候,所需recursion call stack最深為O(n)。
程式碼 BFS從上到下 廣度優先,逐層往下探索每個結點
class Solution:
def hasPathSum(self, root: Optional[TreeNode], targetSum: int) -> bool:
# Base case: empty tree
if not root:
return False
# BFS Queue, starting from root node with given targetSum
bfs_q = deque([ (root, targetSum)])
# Launch BFS aka level-order traversal from root node
while bfs_q:
cur, target = bfs_q.popleft()
# We've reached leaf node, and my value equals to target value
if not cur.left and not cur.right and target == cur.val:
return True
# Update target value for next level
target -= cur.val
# Push children into BFS queue
cur.left and bfs_q.append( (cur.left, target) )
cur.right and bfs_q.append( (cur.right, target) )
return False
複雜度分析 BFS從上到下 廣度優先,逐層往下探索每個結點
時間複雜度:
從根結點開始,探索整顆樹,每個結點最多拜訪一次,所需時間為O(n)。
空間複雜度:
從根結點開始,探索整顆樹,BFS Queue長度最長為O(n/2),發生最後一層而且樹全滿的時候,所需空間最大為O(n/2) = O(n) 係數可省略。
關鍵知識點
順著題意走,從Root node根結點出發,從上往下走,每經過一個節點,就把targetSum減去對應的結點值node.val,假如到葉子結點的時候,targetSum剛好扣完,那就表示有解,返回True。
否則,代表無解,返回False。
Reference:








