題目敘述
題目會給我們一棵二元搜索樹的根結點root,還有一個指定的目標值val。
要求我們找出在樹中對應到目標值val的節點,假如找不到,請回傳null( null在Python就是None)。
測試範例
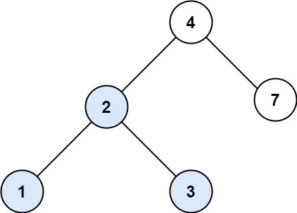
Example 1:

Input: root = [4,2,7,1,3], val = 2
Output: [2,1,3]
Example 2:

Input: root = [4,2,7,1,3], val = 5
Output: []
約束條件
- The number of nodes in the tree is in the range
[1, 5000].
節點總數目介於 1 ~ 5000 之間。
1 <= Node.val <= 10^7
節點值都介於1 ~ 一千萬 之間。
rootis a binary search tree.
root是一棵二元搜索樹的根節點。
1 <= val <= 10^7
目標值val介於1 ~ 一千萬 之間。
演算法 依照二元搜索樹BST定義的即可
讓我們回顧二元搜索樹Binary search tree的定義:
所有左子樹的節點值都比根結點還小。
所有右子樹的節點值都比根結點還大。
每一層,就先判斷是不是已經找到val目標節點了?
假如找到了,就值接回傳當下的節點。









