題目敘述
題目會給我們一棵BST二元搜索樹的根結點root,還有一個指定的目標值key。
要求我們在樹中刪除帶有這個key值的節點,並且返回更新過後二元搜索樹的樹根root。
測試範例
Example 1:

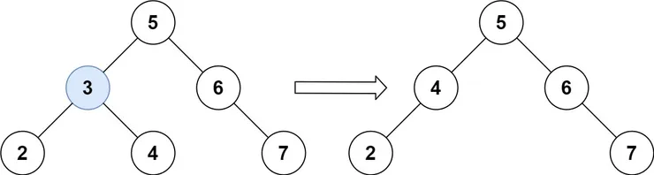
Input: root = [5,3,6,2,4,null,7], key = 3
Output: [5,4,6,2,null,null,7]
Explanation: Given key to delete is 3. So we find the node with value 3 and delete it.
One valid answer is [5,4,6,2,null,null,7], shown in the above BST.
Please notice that another valid answer is [5,2,6,null,4,null,7] and it's also accepted.
Example 2:
Input: root = [5,3,6,2,4,null,7], key = 0
Output: [5,3,6,2,4,null,7]
Explanation: The tree does not contain a node with value = 0.
Example 3:
Input: root = [], key = 0
Output: []
約束條件
Constraints:
- The number of nodes in the tree is in the range
[0, 10^4].
節點總數目介於0~ 一萬。
請留意邊界條件的處理,題目有可能會給我們一棵空樹喔!
-10^5 <= Node.val <= 10^5
節點值都介於 負十萬~正十萬 之間。
- Each node has a unique value.
每個節點值都是獨一無二的,不會彼此重複。
rootis a valid binary search tree.
root 是這棵合法二元搜索樹的樹根。
-10^5 <= key <= 10^5
被刪除的目標值介於 負十萬 ~ 正十萬 之間。










