居高思危,用統計模型實證另一個股市的賣出訊號指標
EPS是衡量公司獲利狀況和效率的常見指標,我用個人財務狀況來做比喻:
假設兩個人A和B,他們的淨儲蓄(即扣除支出後的剩餘資金)相同:
A:每年工作2000小時,淨儲蓄為$200,000。
B:每年工作1000小時,淨儲蓄為$200,000。
因此,A的EPS=$200,000/2000=100。B的EPS=$200,000/1000=200。顯示了B有更高的效率或更高的每小時收入。所以,有較高EPS的公司,投資人對該公司的評價就更高,享有更高的估值股價。
如果某人的EPS高於過去平均,暗示著他養成了更節儉的好習慣(自我管理加強),或是找到了薪水更高的工作(賺錢能力提升),相對於公司而言也是如此。如果股市中大部分的公司EPS都顯著提升,這暗示著經濟環境樂觀,當然對股市而言是大利多,相反的,大部分的公司EPS顯著降低,這暗示著經濟環境即將走下坡。
我收集了2010年至今,每半年一筆,所有公司的EPS和0050ETF回報率,比方說,在2018年6月有96%的公司,他們的EPS高於過去平均,然而下半年(2018年12月)卻下降至74%,這種情況就是典型的利空訊號,我想證明:是否該訊號出現,伴隨著0050的獲利減少或是賠錢?
因為這2018年6月和12月的2筆相關資料,在統計上不具獨立性,因此今天我們用來實證的模型是:mixed effect model(混合性應模型),也就是區分成2 groups (EPS比例上升時期 vs 下降時期),把相鄰的時間點當成隨機效應,探討該EPS指標是否能預測0050的賺賠。
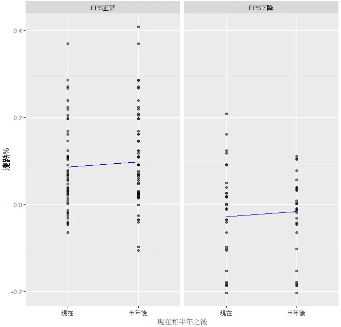
附圖左側是EPS趨勢良好的時期,藍線的位置落在10%左右,表示在此時期,持有指數型ETF不會有長期賠錢的後果,另一方面,右側是EPS趨勢下降的時期,藍線的位置落在0以下,表示在此時期,買入持有0050的狀況通常是賠錢的。容許我寫下統計術語結論:時間效應T對於0050的回報不顯著(p=0.47),表示藍線趨近於水平,在該半年(短期)賺賠趨勢不會有顯著的反轉。在隨機效應中(EPS)的截距項佔了總變異的44%,這意味著不同EPS趨勢之間的變異顯著的影響了0050獲利,解釋了總變異性中的很大一部分。

2023年12月EPS高於平均的比例是68%,2024年6月則是82%,目前能處於上升趨勢,因此該指標建議此週期還沒走完,建議耐心持有。



















