服用須知 : 本系列內容力求白話、通順、易懂(畢竟是筆記嘛😂),因此較沒有極度嚴謹的數學證明,如有特別嚴謹的需求還是要參考教科書!
封閉路徑的線積分 :
在我的上一篇文章(面積積分、通量、與散度)裡有提到,散度的產生來自於表面積截到的通量,也就是要有場的通過,散度才不為0,那麼,難道有場通過的情況下就沒有散度為0的特例嗎?
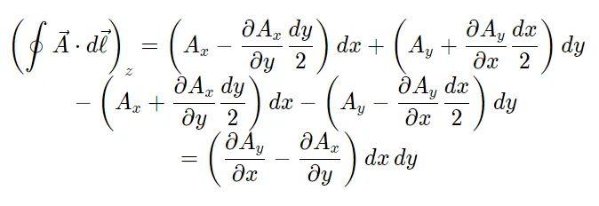
有的,如果今天我們的場是在體積內部循環,那自然不會有通量的進出,比方說:磁場就是封閉路徑場的最佳例子。假設空間中分布一向量場A(Vocus打不出向量箭頭QQ),場A的值越往正方向(xyz軸方向皆適用)就越大,反之,負方向則越小,我們繞著封閉路徑abcd做向量A的線積分(如圖)

(圖片來源 : 第11頁)
由上圖我們可以觀察到 :
- ab路徑在x方向上的場值遞增,且[路徑向量]與[場向量x分量]夾角為銳角(cosθ>0)
- bc路徑在y方向上的場值遞增,且[路徑向量]與[場向量y分量]夾角為銳角(cosθ>0)
- cd路徑在x方向上的場值遞減,且[路徑向量]與[場向量x分量]夾角為鈍角(cosθ<0)
- da路徑在y方向上的場值遞減,且[路徑向量]與[場向量y分量]夾角為鈍角(cosθ<0)
因為是封閉路徑,其符號為封閉積分符號 : ∮。再由上述觀察,把四段線積分的式子表示出來,並相加就得到總路徑積分 :

你可能會疑惑場向量分量的變化率為甚麼不是(∂Ax/∂x)和(∂Ay/∂y)?
要知道空間中的場值隨位置不同而有不同分布情形,假設我要沿著y方向做積分,但既然是在長方形的邊緣,中心的Ay到邊緣的Ay是不是不一樣? 所以應寫做(∂Ay/∂x),(∂Ax/∂y)同理。
旋度(Curl):
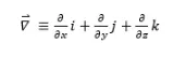
在我的上上篇文章(向量分析之梯度),有提到梯度運算子(Gradient)的定義是 :

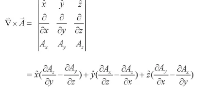
如果把它和場向量A做外積,會得到:

定睛一看會發現,剛剛總路徑積分的結果,不就剛好等於兩者外積後的z分量(∇×A)z再乘dxdy嗎? 接著把dxdy(面向z方向的微小面積)簡寫成:daz,整理成 :

面向x、y方向的微小面積也可用同樣方法求得,只是他們cross出來的方向(以下簡稱i方向)會改而已。
我們給(∇×A)一個名稱,稱作A的旋度,所以(∇×A)i 就是A的旋度在i方向上的分量。由上式可以看出來,旋度的意義就是單位面積基數的路徑積分值,所以積分起來才會是面向i方向的整個面積的封閉路徑積分之加總。其方向(它是向量喔)則是遵照右手定則。
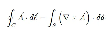
史托克定理(Stokes' theorem) :
讓我們應用在實際情況吧 ! 假設今天有一個袋狀物體(如圖),表面把它分割成無限個面積基數,且表面上有無數個內部循環的向量場 :

(圖片來源 :第12頁)
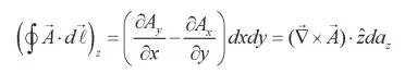
會發現側面的「向量場」會被「旁邊面積基數的向量場」因方向相反的緣故互相消掉了,最後沒被消掉的只有「袋口」的C環形,算出C的路徑積分就是袋子表面的總路徑積分了 ! 回歸線積分的定義並結合剛剛得到的旋度 :

此即史托克定理,史托克定理的意義在於說,原本只能沿著一維路徑做積分,現在可以看成由單位面積的單位路徑積分所累加起來的,而這個單位路徑積分即是場向量函數的旋度。
參考資料:
中山大學開放式課程 電磁學 周啟教授
周啟電磁學網路課程講義 第一章向量算符
以上就是我的筆記,由於內容屬於原創,如上述有用詞不精、詞不達意、或是觀念錯誤等情況,麻煩在底下留言告知,我會加以修改,請各位多多指教了🙇♀️!
📍更多實用資訊,歡迎關注理工女子的宿舍漫遊(IG&Vocus)





















