服用須知 : 本系列內容力求白話、通順、易懂(畢竟是筆記嘛😂),因此較沒有極度嚴謹的數學證明,如有特別嚴謹的需求還是要參考教科書!
符號簡介:
- 空間中的一點可由三個座標值(q1,q2,q3)決定,其中qn就是所謂的座標表法。
- 接下來會以V表示純量函數,A表向量函數,其中,Aqn是A在qn方向上的量值,aqn表在在qn方向上的單位向量,所以整個A向量函數就是 : Aq1aq1 +Aq2 aq2 +Aq3 aq3 (Vocus打不出向量跟單位向量上標QQ)
- 一個點的位移量dl可表示為dl=dl1aq1 +dl2 aq2 +dl3 aq3,dln和座標值dqn維持著一種關係,即 : dln = hn dqn ,其中,h就是所謂尺度因子。
接下來,就直接介紹常見的正交座標吧 !
笛卡爾座標 :
這是我們最熟悉不過的一種座標系統,用(x,y,z)表示一個點,三個變數的單位向量形成正交關係(此乃正交座標系的意義),如下圖 : (圖片來源)

可以看到如有一點做位移,則每個方向上的微量位移 :
x方向上的微位移 : dx 、 y方向上的微位移 : dy 、 z方向上的微位移 : dz
根據dln = hn dqn, 得 : h1=1、h2=1、h3=1
柱座標 :
在柱座標系統下,我們以三個變數構築這個世界 : (ρ,θ,z),三個變數的單位向量形成正交關係,如下圖 : (圖片來源)

可以想成是一個點由原點出發,先沿著半徑方向走了一定值,再走一個圓弧ρθ,但這樣只有平面,所以再沿著z方向往上(下)走,你會發現如此一來空間中的每一點都能以這種方式抵達,而我上述示範的便是各方向的dl,我們說 :
有一點做位移,每個方向上的微量位移 :
ρ方向上的微位移 : dρ 、 θ方向上的微位移 : ρdθ 、 z方向上的微位移 : dz
根據dln = hn dqn, 得 : h1=1、h2=ρ、h3=1
球座標 :
在球座標系統下,我們以三個變數構築這個世界 : (r,θ,∅),三個變數的單位向量形成正交關係,如下圖 : (圖片來源)

一樣,想成是一個點由原點出發,先沿著半徑方向走了一定值,再往上(下)走一個圓弧rθ,再水平沿球表面繞一∅角,你會發現如此一來空間中的每一點都能以這種方式抵達,而我上述示範的便是各方向的dl,我們說 :
每個方向上的微量位移 :
r方向上的微位移 : dr 、 θ方向上的微位移 : rdθ 、 ∅方向上的微位移 : rsinθ d∅
根據dln = hn dqn, 得 : h1=1、h2=r、h3=rsinθ
所以整理出下表(表一) :

廣義正交表達式 :
要知道,前幾章所談的梯度、散度、旋度皆是在直角座標的情況,如果我們訂定系統為球座標、柱座標呢? 我們只需要找出可以代入dln = hn dqn的地方即可。
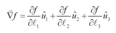
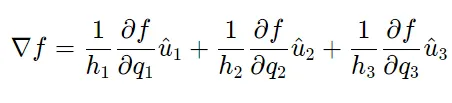
梯度的廣義正交表達式 :
比方說,以梯度為例,梯度的本質就是隨不同路徑移動時,V增量的變化率,亦即 :

把各方向的微量位移dl代入dln = hn dqn,就得到梯度的廣義的正交表達式 :

如此一來,假設要求柱座標、球座標系統下的梯度,就只要對照表(一)的值一一填入這個萬用式就好了。
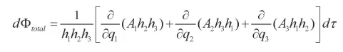
散度的廣義正交表達式 :
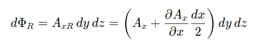
在我的文章電磁學筆記2裡面有談到,散度就是單位體積的通量,還記得我們將左右通量相加,進而導出微量正方體表面積上的總通量嗎 ? 以下是右側通量 :

基本上轉換座標系後唯一的改變就在於 : 把證明過程中的長度dl(上圖是dy、dz)代入dln = hn dqn,(有興趣的可以自己證明看看,有點曠日廢時,故只大概講述原理😅),前後左右上下的通量皆適用,全部加起來得到總通量 :

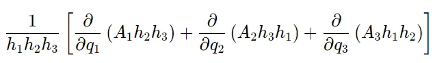
又因為散度就是單位體積的通量,得到散度的廣義正交表達式 :

一樣,假設要求柱座標、球座標系統下的散度,就只要對照表(一)的值一一填入這個萬用式就好了。
旋度的廣義正交表達式 :
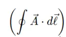
旋度,就是所謂單位面積的總路徑積分值,回顧線(路徑)積分的定義 :

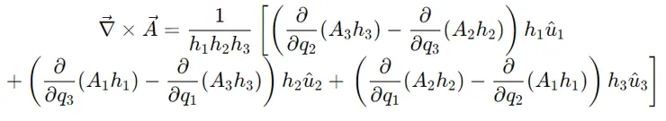
會發現只要在這個步驟即時代入dln = hn dqn即可,將所有的路徑積分全部相加(詳細推導可看電磁學筆記2),得到這個複雜的式子,即單位面積的總路徑積分 :

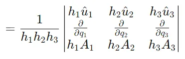
此即旋度的廣義正交表達式,然而實在有點複雜,可以簡化成行列式的形式比較好記 :

同理,只要對照表(一)的值一一填入這個萬用式就能求柱座標、球座標系統下的旋度。
最後,為大家整理出表二 :

以及代入表一後的結果 :
由上而下分別是:笛卡兒座標、球座標、柱座標,分開打是因為一起打會太擠



參考資料:
電磁學與電磁波的理論及應用(上)李長綱博士
周啟電磁學網路課程講義 第一章向量算符
以上就是我的筆記,由於內容屬於原創,如上述有用詞不精、詞不達意、或是觀念錯誤等情況,麻煩在底下留言告知,我會加以修改,請各位多多指教了🙇♀️!
📍更多實用資訊,歡迎關注理工女子的宿舍漫遊(這是我的IG)




















