服用須知 : 本系列內容力求白話、通順、易懂(畢竟是筆記嘛😂),因此較沒有極度嚴謹的數學證明,如有特別嚴謹的需求還是要參考教科書!
面積向量 :
面積向量可以視為和一表面垂直的向量,同一面上有正反兩個表面,兩表面上的面積向量為反向。
以下有三種以後常遇到的面積向量形式,分別為:- 圓形導線有電流通過,面積向量方向遵照右手定則(四指電流,拇指面積向量)。
- 在空間中畫一個環形路徑,空間有電場通過,電場沿路徑方向做線積分,面積向量方向遵照右手定則(四指路徑,拇指面積向量)。
- 空間中的曲面,分割成無限個無限小的面積,擁有無限組面積向量,同一面上同樣有正反兩個表面,面積向量互為反向。(因此同理於封閉曲面,外表面的面積向量為正,內表面的為負,兩者方向相反)。
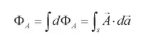
通量(Flux)Φ :
我們定義通量Φ=場向量和面積向量之內積。
假設空間中有一個場「A向量」(Vocus打不出向量箭頭QQ),以及一個曲面a(場A通過其中),曲面a的面積向量是什麼呢?微觀來看,如果把空間中的曲面,分割成無限個面積基數𝒹a,就有無限個通量𝒹Φ,全部把他相加即積分出Φ:

那如果今天這個曲面是封閉的呢?比方說一個極小的正立方體,置放在電場A中,如圖 :

(圖片來源:第九頁)
假設電場A在不同位置有不同量值,越往正方向(xyz軸皆適用)電場A越大,反之往負方向越小。我們想要試算這顆正立方體的電場總通量,因為有六個面,所以先算出左右的總通量,上下、前後再以此類推就好了。
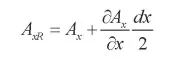
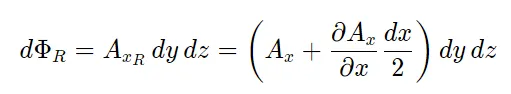
右邊:
垂直通過右側表面的電場為:中間的場值(A的水平分量)+(電場隨x方向的變化率)×(經過的距離,也就是𝒹x的一半),用數學表達為:

而右側表面的面積基數為𝒹y𝒹z,將兩者內積,得到右側電通量 :

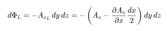
左邊 :
一樣的原理,不過注意A往負向是遞減,且面積向量為反向(cos大於90度,內積出來代負號),因此寫出來是 :

左右相加 :

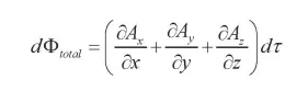
其中,τ是體積基數。前後、上下以此類推,只是把x換成y、z而已,全部加起來得到微小體積基數的總通量 :

而整顆正立方體的總通量就是把𝒹Φ積分後的樣子,我就偷懶不寫了。
散度 :
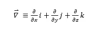
在我的上一篇文章(向量分析之梯度),有提到梯度運算子(Gradient)的定義是 :

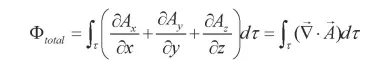
仔細看剛剛正方體總通量的積分式,會發現中間括號起來的部分根本就是梯度運算子和A向量(Axi+Ayj+Azk)的內積 :

這樣式子便簡潔多了,我們給(∇.A)一個名稱,稱作A的散度。由上式可以看出來,散度的意義就是單位體積基數的通量,所以積分起來才會是整顆立方體的總通量。
如果(∇.A)不等於0,表示有向量場從立方體內部發散出去,或由外部收斂進去。
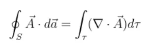
散度定理 :
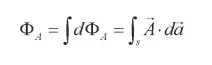
如同前述通量小節說的,總通量依照定義也可寫成:

發現了吧!兩式居然可以互通:

此及著名的散度定理(Divergence theorem),散度定理的物理意義在於說,原本只能透過表面積攔截的通量,現在可以看成由單位體積的單位通量所累加起來的,而這個單位通量即是場向量函數的散度。
參考資料:
中山大學開放式課程 電磁學 周啟教授
周啟電磁學網路課程講義 第一章向量算符
以上就是我的筆記,由於內容屬於原創,如上述有用詞不精、詞不達意、或是觀念錯誤等情況,麻煩在底下留言告知,我會加以修改,請各位多多指教了🙇♀️!
📍更多實用資訊,歡迎關注理工女子的宿舍漫遊(IG&Vocus)























