Exploring Bitcoin's Value and Price: Using Models to Estimate the Reasonable Ranges for Upswings and Downswings

本篇文章同步發表於Medium,文章連結
本文為簡易介紹內容,付費內容將介紹我是如何佈局與買賣比特幣的想法,深度剖析比特幣本質特色、發展、數據判讀、挖礦成本計算、估算漲跌幅滿足點、及我的佈局比特幣的觀點。
對於更細部的內容有興趣,歡迎進行購買付費內容
購買文章連結:付費文章校對中
先說結論
比特幣作為一種類似黃金的稀缺資產,隨著法定貨幣的購買力下降,其價值只會不斷提升,且特別適用於對抗通膨與增值資產。作為去中心化的數位貨幣,比特幣不僅是一種新興的資產,更是未來支付方式的一部分。隨著全球共識的加強和更多人的認同,比特幣將在價值儲存和支付領域發揮更重要的作用。因此,對於那些猶豫不決的人而言,現在正是認識並擁抱這一資產的好時機,不要錯過這一可能改變未來財務格局的機會。
目錄
Chapter 0 - 引言
Chapter 1 - Bitcoin興起: 歷史總是驚人的相似
Chapter 2 - Bitcoin的本質特色: 物以稀為貴的反通脹屬性資產
Chapter 2-1 - Bitcoin的本質體現
Chapter 2-2 - Bitcoin的區塊鏈特色
Chapter 3 - Bitcoin挖礦的帳務原理
Chapter 3-1 - Bitcoin的架構與規則
Chapter 3-2 - 比特幣挖礦的歷史演進
Chapter 3-3 - 從Bitcoin Explorer剖析全網挖礦動態資訊
Chapter 4 - Bitcoin與各類資產的比較分析
Chapter 4-1 - Bitcoin V.S. 黃金
Chapter 4-2 - Bitcoin現貨 V.S. Bitcoin ETF
Chapter 4-3 - 機構法人/商業公司布局Bitcoin的概況
Chapter 4-4 - 自己如何看待與使用Bitcoin資產
Chapter 5 - BTC循環週期與估算漲跌區間
Chapter 5-1 - 推動BTC價格起伏的AB法則
Chapter 5-1-1 - 能源生產價格
Chapter 5-1-2 - AB法則
Chapter 5-1-3 - 法定貨幣購買力
Chapter 5-2 - BTC循環週期的可複製性與否
Chapter 5-3 - BTC的漲幅滿足點預估
Chapter 5-4 - BTC的跌幅滿足點預估
Chapter 6 - BTC的後續發展想法
Chapter 7 - 結論
備註
參考文獻
文章聲明
免責聲明
Chapter0 - 引言
2008年的金融海嘯引發全球經濟動盪,為了應對危機,許多國家瘋狂印鈔,這也促成了比特幣的誕生。當今的貨幣信用體系建立在債務之上,但過度借貸使全球經濟債台高築。印鈔帶來的結果是資產價格飆升,未能進行理財投資的人越來越難以追趕高資產階層,財富不平等加劇。在一些國家,過度印鈔或經濟體質薄弱導致惡性通貨膨脹,持有法定貨幣的民眾面臨財富縮水的困境。
在這樣的背景下,全球急需一種錨定價值且可全球通用的數位貨幣,比特幣的稀缺性和去中心化特質,讓它成為了新一代的避險資產與價值儲存工具。儘管許多國家正在推動數位法幣,表面上是為了提升電子支付便利性,但在極權國家,數位法幣可能成為政府監控和限制人民生活的工具。而比特幣的去中心化和隱匿性,或許是保障個人財務自由的唯一解答。
比特幣的崛起並非一蹴而就,而是經歷了許多歷史事件的推動。我將從比特幣的歷史背景、內在特質、挖礦原理、資產屬性以及牛熊循環中的漲跌幅滿足點比較等多個層面,全面探討這一數位資產的發展脈絡與未來潛力。理解這些要素,將有助於更好地掌握比特幣的長期價值,並在未來的市場中做出更明智的投資決策。
Chapter 1 - Bitcoin興起: 歷史總是驚人的相似
2008年全球金融危機起源於美國次級抵押貸款市場,這導致了大量房產違約、房地產市場崩潰,並引發了金融機構的連鎖反應。貝爾斯登和雷曼兄弟兩家投資銀行先後陷入困境,最終雷曼兄弟的破產使金融市場陷入恐慌,經濟衰退蔓延至全球。此後,美國政府及美聯儲採取一系列救市措施,雖然穩定了市場,但也帶來了通貨膨脹的隱憂。

雷曼兄弟倒閉
在這場危機的背景下,比特幣誕生。2008年10月31日,名為中本聰的神秘人發表《比特幣:端對端電子現金系統(Bitcoin: A Peer-to-Peer Electronic Cash System)》論文,提出一個去中心化、透明且無需信任中介的交易系統。比特幣的有限供應設計旨在避免貨幣濫發,這使其成為一種具備抗通脹特性的資產。2009年1月3日,比特幣網絡正式啟動,中本聰挖出創世區塊,留下了一條註記”The Times 3 January 2009 Chancellor on brink of second bailout for banks”,暗示著對傳統金融系統的批判。

比特幣創世區塊資訊(Source: The New and Renewed Bitcoin Narrative)
2020年新冠疫情引發了全球經濟危機,美聯儲再次推出一系列大規模財政刺激政策,導致貨幣供應量急劇增加。這與2008年的情況相似,再次引發了對通脹的擔憂。正是在這樣的背景下,比特幣的第三次產量減半於2020年5月11日完成,標誌著比特幣作為抗通脹資產的價值再次受到關注。

比特幣第三次產量減半的區塊資訊
Chapter 2 - Bitcoin的本質特色: 物以稀為貴的反通脹屬性資產
Chapter 2-1 - Bitcoin的本質體現
本章介紹比特幣(Bitcoin, BTC)本身價值及特色,由此掌握長期發展的價值。比特幣的本質在於作為一種數字資產的價值體現,最主要有保值、反通脹、稀缺、剛需、自主、避險等本質,其總量被限制在2100萬枚,因此不像法定貨幣那樣可以無限增發。隨著時間推移,尤其是在比特幣減半後,供應量逐漸減少,這種稀缺性使得比特幣能夠在市場波動和通脹壓力下保值,被視為數字黃金。

比特幣的本質特色
● 保值性、反通脹性、稀缺性
通貨膨脹是法定貨幣的常見問題,隨著貨幣供應量增加,購買力不斷稀釋。然而,比特幣通過固定的總供應量和減半機制,限制了流通供應,避免了像法定貨幣那樣的通脹壓力。這使得比特幣成為一種反通脹的投資選擇,吸引投資者將其納入資產組合。
比特幣的稀缺性進一步提升了其價值。由於90%的比特幣已經被挖出,大部分被持有者囤積,市場上流通的數量有限,這促使比特幣價格隨需求上升,吸引更多人投資,形成價值增長的良性循環。

比特幣供給量曲線

美元購買力變化走勢圖

法定貨幣的通貨膨脹與比特幣的反通貨膨脹
● 自主性
比特幣的自主性是區別傳統法定貨幣的重要特點。傳統法定貨幣的價值由該國家信用背書,具有地域性限制。這些貨幣的價值依賴於各國的經濟和政治穩定性,一旦出現政局動亂或經濟危機,這些貨幣可能迅速貶值甚至變為廢紙,有些國家甚至會將大規模爛帳與舊幣拋棄成立新貨幣,如1923年的德國惡性通脹、1949年的台灣以4萬元舊台幣折換成1元新台幣、1948年上海金圓券風暴、1948年的上海發生的惡性通脹等許多國家地區。當國家出現政治動盪、經濟危機、銀行本身的財務危機時,銀行體系首當其衝的承受大量貨幣擠兌的壓力,擠兌壓力將會形成骨牌效應擴散到各銀行機構。而銀行會以許多措施限制擠兌或變為爛帳,造成讓人民的財富受到限制甚至遺失。
比特幣的出現,讓人類歷史上首次由所有人完全掌握「鑄幣權」的機會,完全掌握擁有私人財富的控制權,不受任何國家或機構的干涉,其價值基於全球對比特幣的共識。任何人在任何地方都能使用比特幣支付購買商品或服務。這種去中心化特性,使得比特幣成為一種超越傳統法定貨幣限制的全球性貨幣。比特幣的自主性還體現在其抗審查能力上,由於比特幣交易是點對點進行的,因此任何政府或機構都無法輕易阻止或控制比特幣交易。這對於生活在經濟不穩定或受金融制裁影響的地區群體尤為重要,這些人群通過比特幣避開傳統金融系統的限制,自主地管理和使用自己的財富。
![1923年的德國惡性通脹(Source:[歷史照片]1923 年德國超級通脹︰2000 億馬克買一個麵包的時代)](https://img.vocus.cc/hKLGxv6PUBeECtUnd-J2KheN4VUl8npoG1qKEmT81DQ/w:479/f:webp/plain/https://images.vocus.cc/56a9d7b4-2260-464d-a8c7-2d8b3fdf5789.jpg)
1923年的德國惡性通脹(Source:[歷史照片]1923 年德國超級通脹︰2000 億馬克買一個麵包的時代)

全球各地的銀行擠兌新聞
● 避險性
全球國家在出現經濟問題時,最主要的手段是量化寬鬆的貨幣刺激政策,這舉措會讓法定貨幣供給量持續增發,形成錢的購買力被稀釋。比特幣作為反通脹的資產,有良好的保值性。另外的避險特性是”公認交易媒介”。試想過,如果全球任一地方發生政經動盪事件,甚至最糟狀況的戰爭發生時,身上唯三能作為交易媒介的就是美元、黃金、比特幣。出現必須趕緊離開的當下,再去銀行、ATM排隊等待領錢已經太晚了,銀行可能會開始限制擠兌。攜帶比特幣只要持有任何形式裝置的冷錢包,就可以快速移動,且只要對方也接受比特幣支付就能快速購買需求商品或服務。

帶著比特幣逃難的烏克蘭難民(Source: 帶著一支USB和2000美元的比特幣,烏克蘭男子逃出生天)
Chapter 2-2 - Bitcoin的區塊鏈特色
比特幣作為首個區塊鏈項目,其獨特的特色也對區塊鏈技術發展,提供相當大的啟發與學習,該特色如去中心化、安全性、隱匿性、透明可追溯性和防篡改性。

比特幣的本質特色
● 去中心化
比特幣的區塊鏈技術是其核心價值之一,它代表了去中心化的金融系統。不同於傳統銀行系統,比特幣交易通過分散的網絡進行,不依賴於任何單一機構。這一特性使比特幣不受政府或金融機構的控制,實現了真正的點對點交易。
● 安全性、防篡改性
比特幣區塊鏈的安全性和防篡改性也是其關鍵優勢。每筆交易都會被記錄在公開的區塊鏈上,並通過數學算法進行驗證,確保數據的完整性和安全性。這一技術避免了數據被惡意篡改的可能性,提高了系統的信任度。
● 隱匿性、透明性
隱匿性和透明性是比特幣區塊鏈的另一個重要特點。比特幣交易雖然公開,但交易方的身份信息是隱藏的。這使得用戶可以保護隱私,同時又保證了交易的透明性和可追溯性,為金融活動提供了新的可能性。
Chapter 3 - Bitcoin挖礦的帳務原理
Chapter 3-1 - Bitcoin的架構與規則
比特幣網絡是一個由全球節點組成的分散式系統,核心規則包括2100萬枚的總量限制和每個比特幣可分割到0.000 000 01 BTC(聰,Satoshi)。每個區塊大約每10分鐘生成一次,而區塊獎勵每210,000個區塊會減半,直至最終獎勵為零。
比特幣的區塊鏈運作依靠節點尋找隨機數來解決數學難題,形成工作量證明(Proof of Work, PoW)。當某個節點成功找到答案後,會廣播到全網進行驗證。驗證通過後,新的區塊會被加入區塊鏈中,而該節點將獲得獎勵。
比特幣的分散式帳本通過區塊鏈記錄所有交易,並通過共識機制確保數據的一致性和不可篡改性。應用層則包括各類比特幣錢包和交易平台,用戶可通過這些介面進行比特幣交易。

圖像化區塊鏈求解隨機數的過程
Chapter 3-2 - 比特幣挖礦的比較與歷史演進
比特幣挖礦歷史類似於美國淘金潮,從最初使用CPU挖礦開始,逐漸演變到GPU、FPGA,再到專業的ASIC礦機,這些技術的進步使得挖礦效率和算力大幅提高,推動挖礦行業的迅速發展。

挖金礦與比特幣挖礦的演進
隨著ASIC礦機的普及,挖礦逐漸從個人行為轉向礦場與礦池的規模化運作。早期的個人挖礦逐漸被淘汰,取而代之的是具備資本實力的大規模礦商。這些大型礦商在產量減半和政策變動中生存下來,成為行業主力。
中國曾是全球最大的挖礦中心,但在2021年政府禁止加密貨幣活動後,許多礦工轉向美國、加拿大等地建立新礦場,進一步推動了挖礦業的全球化發展。
Chapter 3-3 - 從Bitcoin Explorer剖析全網挖礦動態資訊
比特幣瀏覽器(Bitcoin Explorer)提供了全網狀態、礦池、哈希率、難度等數據的即時資訊,讓用戶可以更好地了解比特幣網絡的運行狀況。BTC.com等網站展示的數據對於理解比特幣挖礦具有重要參考價值。如,哈希率代表全網挖礦設備的總算力,難度調整則反映了每兩週根據全網算力的變化自動調整的挖礦難度。這些指標有助於分析未來挖礦的收益預期及網絡狀況。
瀏覽器還提供比特幣的市值(Market Cap.)、已挖出總量(Circulation)、剩餘數量(To be mined)、全網狀態(Network Status)、礦池(Pool)、全網狀態(Network Status)提供許多重要資訊,這邊需要知曉的是哈希率(Hashrate)、難度(Difficulty)、每單位收益(Earning/T)、難度調整(Expected Next Difficulty)、難度調整日期(Date to Next Difficulty)、交易費獎勵/區塊獎勵比率(fee reward/blocks rewards ratio)、礦池算力(Real-Time Hashrate) 、全網佔比(Share)、一週幸運值(7D Lucky)、挖掘區塊數(Blocks Mined)、區塊平均手續費(Avg. Tx Fee per Block)、每日挖掘區塊(Mined Blocks)、區塊資訊(Blocks List)等數據,我都將針對每個數據細節一一介紹,幫助用戶從宏觀層面了解比特幣網絡的經濟運行模式,進而評估挖礦活動的風險與機會。

BTC Explorer基本資訊

BTC Explorer礦池資訊
Chapter 4 - Bitcoin與各類資產的比較分析
在本章節中,我將以資產角度進行比特幣與黃金的細部比較,觀察其相似與相異之處。以黃金作為基礎探討與比特幣屬性是否相同,還能有哪些相似的發展潛力。接著,比較比特幣現貨與比特幣ETF,評比它們各自的特點,並根據不同需求規劃投資想法。最後,整理近年來投資比特幣的公司與企業,藉此了解比特幣在機構投資者中的接受度和普及程度。透過目前資訊的比較分析,提供對比特幣地位和潛力的全面理解。
Chapter 4-1 - Bitcoin V.S. 黃金
比特幣和黃金都被視為避險資產,各自具有抗通脹的屬性。黃金因其長久的歷史與稀缺性,一直是投資者保值的選擇;而比特幣的供應量被固定在2100萬枚,也被稱為數位黃金,並在法幣通脹壓力下吸引了眾多投資者。
黃金的開採受自然資源限制,而比特幣的開採則受到技術與規則的約束。目前已開採的比特幣總量為固定,這種透明性使其市場價值可以預測。與黃金相比,比特幣的數位特性使其更加靈活,尤其在跨境支付和資本流動方面有著更大的應用潛力。
比特幣的支付功能和去中心化特性讓它在全球得到越來越多的接受和應用。無論是薩爾瓦多的日常支付還是歐洲的消費使用,比特幣都展示了其數位經濟時代的重要性,並吸引了越來越多的商家和國家開始接受加密貨幣。現今越來越多公司致力於比特幣等加密貨幣的支付,使得使用數位資產支付越來越便捷,讓大量的加密貨幣富豪,可以有多元管道進行消費使用。下述整理使用比特幣支付的場景:
- 薩爾瓦多的小孩使用比特幣的閃電支付來購買零食。
- 展示薩爾瓦多的 K1 Technology 公司製造的比特幣自動提款機(Bitcoin ATM)K1 Mini,這台支付終端機能接收美元轉成比特幣或支付比特幣換取商品/服務等,這為使用比特幣進行日常交易和支付提供極大的便利,尤其是在薩爾瓦多這國家,大部分居民沒有銀行帳戶則更加合適,已經被廣泛接受和使用。
- 展示巴西在校園教育已經在教學齡幼童如何使用比特幣支付,這些學齡教育的這群小孩將很有可能影響未來20年的主流消費方式。
- 展示在德國用比特幣支付購買啤酒已經非常便利且快速,表明歐洲正在逐步接受這種支付方式。
- 台灣近年來出現接受數位貨幣(BTC、ETH、USDT)支付的房產交易
- 在日本旅遊時,發現大型量販商店接受比特幣支付
隨著全球金融市場的發展,投資者對於這些新資產的接受度和需求也將持續提升,使得比特幣在未來的金融生態中佔據越來越重要的地位。比特幣現貨ETF的推出標誌著加密貨幣市場進入主流投資領域,其潛在的市場表現令人期待。

接受比特幣消費的商家點
Chapter 4-2 - Bitcoin現貨 V.S. Bitcoin ETF
這章節將比較比特幣現貨與ETF的異同,對相同點、相異點剖析。比特幣現貨和ETF都能用來儲存價值,且都有風險。現貨比特幣需自己保管,如果遭遇遺失或被盜竊,資產可能無法追回;而持有比特幣ETF則省去了保管的麻煩,但依然存在潛在的損失風險,尤其是若涉及交易平台的安全漏洞。
比特幣ETF推出後,已消除了過去灰度信託折溢價的問題,投資者能更自由地進行交易。現貨持有者則需要注意保管安全,冷錢包和熱錢包各有利弊,但都面臨丟失私鑰或被駭的風險。ETF的出現讓更多人能方便地接觸到比特幣投資,並且在交易所上市後,投資者可以通過ETF進行比特幣交易,而不必擔心持有現貨的技術問題,這也讓更多傳統投資者願意進入加密貨幣市場。
在2024/1/11通過比特幣ETF後,貝萊德(BlackRock)發行的比特幣ETF(IBIT),在短短的144天(2024/6/3)就達到200億美元的規模,若再把其他9個ETF加總起來約有460億美元的規模,再根據 HODL15Capital的資料統計到6月21日,美國證券市場的比特幣ETF在推出6個月,ETF發行商就已經購入持有867,532枚BTC(563億美元)。
美國證券委員會(SEC)在2024年Q1披露持有的13F報告,統計共414家機構和股東持有IBIT、402家機構所有者和股東持有GBTC、超過200家機構持有FBTC、超過100家機構持有BITB等,如此短時間的巨量資金湧入且新推出ETF就有上百間機構法人持有的狀況,這是先前任一金融商品未見的情況。
Chapter 4-3 - 機構法人/商業公司布局Bitcoin的概況
越來越多的機構法人和企業已經將比特幣納入資產配置,如MicroStrategy和特斯拉這樣的大型公司,都將比特幣視為儲備資產的一部分,因為他們認為比特幣具有長期增值的潛力。機構的進場也提升了比特幣的市場穩定性,並使其逐漸進入主流投資領域。隨著這些公司對比特幣的投資增加,比特幣的市場需求將進一步上升,推動價格增長。
為了更深入剖析機構法人/商業公司布局狀況,我針對商業公司(Public Company)、私人公司(Private Company)、政府(Government)、基金公司(Fund)等類別,深度解析這些群體的現況、持有比特幣的想法,及後續觀察重點。
未來,隨著越來越多的商業公司跟進並使用比特幣作為支付手段,比特幣將進一步鞏固其在全球金融市場中的地位,成為現代化資產配置的一部分。

政府/公司/ETF的比特幣的持倉變化(高解析完整圖請參照連結https://ibb.co/K0Hx3yt)
Chapter 4-4 – 自己如何看待與使用Bitcoin資產
在過去幾年裡,比特幣逐漸被認可為一種與法定貨幣相當的資產,其作為支付工具的應用也越來越廣泛。從日常消費到投資儲值,比特幣現貨已經在許多場景中被使用。儘管比特幣仍存在價格波動,它的交易性和增值潛力吸引了越來越多的人。
人生中的主要消費類別是食、衣、住、行、育、樂,如生活必需品、交通運輸、進修學習、購車、購房、非必需消費品、旅遊和繳稅等。在2024年,這些消費類別都已經可使用數位貨幣,只要交易對方同意接受即可,且越來越多公司推出比特幣閃電支付,讓商家收款變得更快速便捷。Tesla曾推出過比特幣支付購車服務,部分英國房產公司也已接受比特幣支付。這些案例表明,購房、購車和旅遊等消費類別都已經能使用比特幣或其他加密貨幣支付。更值得一提的是,在金融重鎮瑞士,使用加密貨幣繳稅也已成為現實,標誌著加密貨幣進一步融入日常經濟活動。
從個人觀點出發,我將比特幣視為一種交易支付和資產保值工具,並在最大能力範圍內累積儲備比特幣。
Chapter 5 - BTC循環週期與估算漲跌區間
Chapter 5-1 - 推動BTC價格起伏的AB法則
從「第一性原理」來思考比特幣的本質,在比特幣本身擁有的價值下,剖析推動價格起伏的原因。進行頗析內容前,先行計算出目前供給量、可流動供給量,接著以比特幣本質劃分出A、B兩大因素,再從子項了解推動價格的原因。

BTC現況供應量盤點

BTC的價格驅動因素
Chapter 5-1-1 - 能源生產價格
探討比特幣的能源價格,我從黃金的開採過程對比比特幣生成過程,兩者都需投入大量資源。黃金需經過鑽探、挖掘、提煉等步驟,比特幣則依賴算力、電力和基礎設施。運用比特幣的「能源價值」、「挖礦成本計算」評估比特幣的市場價格及未來走勢。
能源價值部分,引入文獻資料,估算挖礦過程中的能源輸入和比特幣的供應增長率,來計算出目前理論價值為64,448美元/枚左右
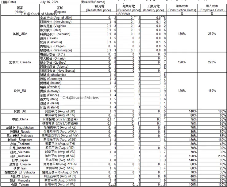
挖礦成本計算部分,引入真實建立礦場所需的支出,以台灣成本開銷為基礎,我設計個Excel自動表格,再結合過往的比特幣挖礦經驗,貼近實際狀況的拆解工廠建設、設備、電費、人事等成本。根據一系列計算,硬體設備成本佔X%,電費成本佔Y(81%),人事成本僅佔Z%。電力成本對挖礦成本的影響極為重大。為了應對全球挖礦環境,我引入GlobalPetrolPrices、U.S. Bureau of Labor Statistics, Arcadis等網站的各國和地區的電價、建築成本、人事成本等數據,用來呈現不同國家和地區的用電類別、建築成本及人事成本,按百分比加乘台灣的基數進行換算,以更精確地反映各地區的實際開支。最後,這些數據將被進一步單位化(Unitization),呈現每單位(每TH-每天)的挖礦成本價。
再將最終計算結果,搭配Bitmain的2024年報告指出的出貨量最高的機型(Antminer S19XP、S21),以此推算出目前挖礦成本約在52,000至57,500美元/枚。

BTC挖礦成本價(台灣-工業用電-Antminer S21) (高解析完整圖請參照連結https://ibb.co/nmmHFKR)

各國地區的電價、建築成本、用人成本比值
Chapter 5-1-2 – AB法則
礦工越來越無控制幣價波動的話語權,並隨著每次產量減半而影響越來越小,在未來的大規模上漲不可能僅由礦工推動。隨著比特幣產量在2032年達到99.2%,預計未來的市場波動性將掌握在”那些群體”。未來一旦共識、應用增加,幣價也會迅速上升。整個比特幣持有分布在這3個產量減半循環後,已經被”那些群體”越囤越多,現在在比特幣幣價6萬美元/枚,如此便宜價格仍沒持有的投資人,屆時到50萬美元/枚時,將更是望塵莫及的價格。

BTC的價格驅動因素

比特幣分布(Bitcoin distribution)
Chapter 5-1-3 – 法定貨幣購買力
貨幣供應量的不斷增加不僅削弱法定貨幣的購買力,還推升整體物價水平的上升,加劇通貨膨脹。對於財商不足的人群來說,他們偏好持有現金作為安全的選擇,但他們未能意識到,這種安全感如同握在手中的冰塊,隨著時間的推移不斷融化;財商充足的人則會充分利用低利率環境,以槓桿手段將手中的現金轉化為能夠增值的資產,如股票、房地產、債券、黃金,甚至比特幣。這些資產不僅能夠保值,還有助於對抗通脹壓力,進一步拉大了貧富差距。同時,美國的債務鐘以實時數據顯示著未來生活正被過度透支,在法定貨幣購買力持續下降的情況下,何種資產才是未來值得長期持有的選擇,值得深思。

美國債務鐘(US Debt Clock)
Chapter 5-2 - BTC循環週期的可複製性與否
這章節要確認比特幣過往至今的走勢,是否存在循環週期的重複性。一旦確認有重複性後,後續就能依照重複性的規律,進行相對應的高點、低點位置辨識與應對操作。
Chapter 5-3 - BTC的漲幅滿足點預估
在循環週期的規律,利用估值模型來估算比特幣的合理價格區間、合理時間段的方式,並考慮投資者的行為和情緒,以判斷最佳的進出場點位。個人評估研究後,主要採用的四種模型,推估比特幣價格在合理漲跌幅段的時間、價格空間的區間。並依照實際狀況考慮政治、經濟、投資群體的行為與情緒的綜合,並在牛市/熊市階段提供4~6種的輔助判斷的訊號,提高判別準確性。

以估值模型與數據辨識BTC循環週期及高低點價位
Chapter 5-4 - BTC的跌幅滿足點預估
這邊計算挖礦成本價是將個150坪地,從硬體建設成本(地成本、建工廠、配電、部屬礦機、冷氣)、電費成本(礦機、冷氣、其他的電費)、人事成本等,整個所有成本開銷拆解。再計算出工廠可以架設多少礦機,並產出多少比特幣(收益)。最終等效成每算力單位-每度電-每天的成本價。為了可以對應到全球各個有在比特挖礦的國家的挖礦成本,蒐集電費、建築成本、人事成本的數據,再將台灣的數據做為基數,引入乘數來貼近各個國家地區的合適價格。以此輸入不同條件就能自動計算出任何一個礦機機型、在任何地方的挖礦成本價。
目前(2024/7)的主流礦機成本價約在52,000~57,500美元/枚,這價格之下都是無風險套利。這個成本價計算最佳運用時間點,就是拿來計算比特幣熊市的下跌跌幅點,當價格跌落這個成本價時,再搭配其他輔助判斷的訊號,就能決策初最佳布局時間點。

計算挖礦成本價(高解析完整圖請參照連結https://ibb.co/D905F80)
Chapter 6 - BTC的後續發展想法
這章節提及自己對於比特幣後續發展的看法,與正在變化的局勢,有些規律內容可能正在轉變的想法。
隨著2024年的產量減半後,比特幣挖出量接近總供應量的96.8%,到了2032年則會達到總供應量的99.2%,由此,礦工對比特幣價格波動的影響正在逐漸減弱,礦工難以像早期那樣,通過大規模拋售或囤積來影響市場價格。對於比特幣的未來發展,我提出些觀點與看法。

比特幣供給量曲線
Chapter 7 – 結論
總結整個文章的內容。
文章聲明
非經取得作者授權,不得任意轉載或公開傳輸。
免責聲明
本資料僅做為個人研究紀錄用並不構成任何投資意見,亦不應被視為任何投資或贖回的招引。投資附帶風險,過往業績並非未來表現的指標。在進行投資決策時,務必自行審慎評估,並自負投資風險及盈虧,如依本文章提供的資料使交易致生損失,本人不負擔任何賠償及法律責任。
本文所引用的新聞內容和圖片,均來自於公開新聞報導,僅作為歷史文獻記錄之用,並不代表本人個人的立場或意見。所有資訊均源自於新聞媒體的報導,並非本人對事件的直接觀點。本文內容旨在提供參考和促進學術探討,並無意涉及任何政治立場或引發爭議。如有任何疑問或異議,建議參考原始新聞報導及其來源。





















