上次我們提到了演算法(algorithm),它是一種解決問題的方式。但演算法只是資料結構與演算法(Data Structures and Algorithms, DSA)這個領域的一部分。今天,我們要進一步探索這個主題,了解它的核心概念。
** 10/14新增堆積排序
什麼是資料結構與演算法呢?簡單來說,資料結構是用來組織和存儲資料的方式,而演算法則是用來處理這些資料的步驟。這兩者緊密結合,讓我們能夠有效率地解決各種計算問題。接下來,我們會介紹一些基本概念,例如圖(graph)和樹(tree)的定義,如何進行遍歷(traversal),什麼是最小生成樹(minimum spanning tree),還有日常應用中的堆疊(stack)與佇列(queue)。
本文的資料與圖片參考以下兩個來源,後續若有程式碼會更新文章。
https://www.geeksforgeeks.org/
溫故知新:
為什麼要學習圖、樹,圖和樹又有什麼不同?
為什麼要學習圖和樹?
學習圖和樹這些資料結構非常重要,因為它們在真實世界中有廣泛的應用:
- 圖(Graph):
- 社交網路:臉書(Facebook)或 Instagram 的使用者和他們的好友之間的連結就是一個典型的圖。節點代表使用者,邊代表好友關係。
- 地圖與導航:像是 Google Maps 這樣的應用程式會將城市中的地點當作節點,將道路當作邊,並用權重來表示路程時間或距離,找到最短路徑。
- 樹(Tree):
- 資料搜尋:像是二元搜尋樹(Binary Search Tree, BST)能夠有效地進行資料搜尋、插入與刪除操作,這是許多演算法的基礎。
- 階層式結構:檔案系統的資料夾結構、公司內的組織圖、分類系統等,這些都是樹的應用,讓我們能夠以直觀的方式呈現資料的層次關係。
圖與樹的定義
圖(Graph) 是由以下兩個部分組成的資料結構:
- 頂點(Vertices/Nodes):節點,代表資料點。
- 邊(Edges/Connections):連接各節點的線,表示節點之間的關係或連結。
圖的邊可以有不同的特性:
- 有向圖(Directed Graph):邊有方向性,連接的節點有「起點」與「終點」,通常會用箭頭表示。
- 無向圖(Undirected Graph):邊沒有方向性,表示節點之間是相互連接的,沒有明確的起點或終點。
- 加權圖(Weighted Graph):邊帶有數值,這個數值可以表示兩個節點之間的成本、距離或其他特徵。
- 無加權圖(Unweighted Graph):邊不帶有任何數值。
下圖是一個有向且加權的圖,每條邊都有箭頭來表示方向,並且邊上有數字表示「權重」,例如路徑的距離或花費的成本。

圖片來源:W3Schools
樹(Tree)是圖的一種,定義比圖嚴格。
- 不會形成環:樹中的節點(Node)和邊(Edge)之間不會形成封閉的循環路徑。換句話說,從任何一個節點出發,不會走回自己。
- 有唯一的走法:在樹中,從一個節點到另一個節點只有唯一的一條路徑。
- 層級結構:樹通常有一個稱為「根節點(Root Node)」的頂點,其他的節點依據層級往下排列,就像檔案或公司組織圖一樣,從上到下形成層次分明的結構。
樹的實際應用如檔案系統,組織系統
下圖是樹的完整組織架構節錄,想要更進階了解的讀者可以參考:

- 根節點(root node):樹中的最頂層節點
- 雙親節點(parent node):任兩層相連的節點中,較靠近「根」者,如下圖的 D 點。
- 子節點(child node / children):任兩層相連的節點中,較遠離「根」者,可再依其所在雙親節點的相對位置分為「左子節點(left child)」及「右子節點(right child)」。
- 手足節點/兄弟節點(sibling node):所有共享同一雙親節點的同層節點。
- 葉(leaf / leaves):沒有任何子節點的節點,
- 路徑(path):連接任兩節點之間所有的邊與節點。
- 子樹(subtree):以根以外的節點為新節點形成的小樹,可再依其所在新的根的相對位置分為「左子樹(left subtree)」及「右子樹(right subtree)」

樹的型態:二元樹(Binary Tree)
樹的種類超級多,光是二元樹就有各種不同的分支,首先介紹二元樹的長相。每個節點都有不超過 2 個的分支,以下僅介紹部分的二元樹:

更多樹的型態介紹可以參考:拉爾夫筆記
樹的遍歷(Tree Traversal)
當我們建立好樹的結構後,接下來最重要的問題就是:如何找到我們想要的答案?在樹的世界裡,目標節點的搜尋可不是隨便找找就能找到的,這就涉及到樹的遍歷。
遍歷的意思
遍歷就是一種系統化的搜尋方式,主要有兩大類模式:
Breadth First Search (BFS) – 寬度優先搜尋:
BFS 是一種優先按層級的搜尋方式,會先從樹的最上層開始,逐層搜尋每一層的所有節點,確保每個節點都被拜訪過,像是一層一層地探索整棵樹。
Depth First Search (DFS) – 深度優先搜尋:
DFS 是一種優先深入某個路徑的搜尋方式,可以有三種常見遍歷方式:先序、中序、後序。它通常會沿著樹的某一路徑深入到底,然後再回頭尋找其他路徑。
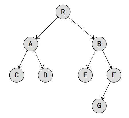
以這顆樹來說,要怎麼讀過所有的節點呢?

前序遍歷(Pre-order Traversal)
在前序遍歷中,我們的策略是先讀取根節點,然後依次深入左子樹,最後再到右子樹。具體來說,對於這棵樹,我們會先讀取左邊的節點 R、A、C、D,然後再轉到右邊的 B、E、F、G。這種遍歷方式特別適合用於需要先處理根節點的情況,像是構思或建立樹的結構。
如果你想更深入了解先序遍歷的運作方式,可以參考這裡的詳細動畫:W3Schools - Pre-order Traversal。

前序遍歷
中序遍歷(In-order Traversal)
在中序遍歷中,我們會從最下面的葉子節點開始,優先讀取左邊的分支。接著,依據之前的示意圖,In-order Traversal 的路徑為:C、A、D、R、E、B、G、F。這種方式讓我們可以在讀取樹的節點時,先處理左子樹,再處理根節點,最後處理右子樹。
後序遍歷(Post-order Traversal)
後序遍歷同樣是深度優先搜尋(Depth First Search, DFS)的一種方式。在這種遍歷中,我們會先讀取左子樹,然後是右子樹,最後才是根節點。後序遍歷特別適合用於刪除整棵樹,因為它確保在刪除根節點之前,已經處理了所有的子節點。
小結
- 前序遍歷(Pre-order Traversal):根 -> 左 -> 右
- 中序遍歷(In-order Traversal):左 -> 根 -> 右
- 後序遍歷(Post-order Traversal):左 -> 右 -> 根
最小生成樹(Minimum Spanning Tree, MST)
介紹完搜尋結點的方式,接下來介紹一個圖論 (Graph)的重要觀念,最小生成樹。最小生成樹走完圖中所有的節點。最小生成樹需要符合以下特性:
- 連接所有點:每個點都要互相連接,不漏掉任何一個。
- 沒有環:選擇的邊不會形成迴圈(即圖中沒有某條邊讓你繞回原來的地方)。
- 總權重最小:你選擇的邊的權重和要是所有可能情況中的最小值,意思就是說你找到了一條連接所有點的最省錢、最短或最節省資源的路。
比喻說明
想像一下,你是市長,想要鋪設道路連接5個城市,你有幾種不同的路徑可以選擇,每條路徑的建造成本(即邊的權重)不同。為了節省預算,你需要選出能連接所有城市的最便宜的道路組合。這樣做出來的方案,就是一棵最小生成樹。實際上最小生成樹的應用可以是,電腦網絡建設、交通網路規劃、電力網。
常見的最小生成樹演算法
為了找到最小生成樹,有一些經典的演算法,他們都是貪婪演算法的延伸:
- Kruskal 演算法:每次選擇權重最小的邊,並避免形成環,直到所有的點都連接起來。
- Prim 演算法:從任一個點開始,不斷選擇連接到樹上且權重最小的邊,直到所有點都被連接。
兩者比較
- Kruskal 演算法:可以處理不連通的圖,因為它是以邊為主,會找到最少生成樹,也可以形成最小生成森林 Minimum Spanning Forest。
- Prim 演算法:需要圖是連通的,因為它是從單一節點擴展,無法自動跳到其他不連通的節點。
Kruskal 演算法:
- 先計算每個點到點的距離,再從最短距離的兩個點開始。
- 分別是 C - E 的 2,E-D的 3 和A-B 的 4,但下一個是 5 沒有辦法連,因為會變成一個環。

- 所以改走 距離為 6 的E-G,再下一步又發現是 7 不能走,所以再去找比 7 大 的邊,再把所有的邊確認完畢,刪除不可能的選項就是這張圖的最少生成樹了。


最短路徑分析 Dijkstra's Algorithm
- 將起點設為 0 其他設無限大 (Inf)。
- 選擇未讀過的最短距離節點。在這個例子選擇 E。
- 更新鄰近節點的距離:以下圖來看,走到 E 時就要把 2 填入 E。
- 標記節點為已讀過。
- 重複步驟 2 到 4,直到所有結點都讀過為止。



因為最短是 E,所以從 E 開始。這時 E 已經變成數字 2 了。所以 C 是 2+4=6。
堆積排序(Heap Sort) : 樹的延伸排序
堆積排序是基於二元堆積(Binary Heap)資料結構的排序演算法。它的運作方式與選擇排序有點像,都是透過每次選擇最大值(或最小值),再跟未排序的數列中最左邊(或最右邊替換)。但由於他有二元樹的特性,所以時間複雜度會比選擇排序來的低。
- Binary heap 是一個完全二元樹 (complete binary tree),完全樹的意思是除了最後一層外每一層都填滿,最後一層必須由左至右填入。
時間複雜度
堆積排序的時間複雜度為 O(nlogn),其中 O(logn) 是維持堆的結構所需的時間,而整個排序過程需要進行 n 次操作。因此,堆積排序比選擇排序更有效率,特別是在處理量資料的時候。
堆積排序的過程:
假設我的目標是,由小排到大,最頂端的數字最小。
- 先將待排序的陣列轉換為一個「最大堆(Max Heap)」或「最小堆(Min Heap)」。** 要最頂端的數字最小,但是一開始我要先把較大的數字換到上面。(詳見下圖)。
- 每次將堆頂元素(最大或最小值)取出,並將其與當前未排序部分(last element of the heap)的末端元素交換。
- 重新調整堆,維持最大堆或是最小堆。
- 重複這個過程,直到所有元素排序完成。
看起來有夠複雜,我們來看圖示:

未排序的陣列,轉成二元數。圖片來源:Geeksforgeeks。

先讀每一層,再進行交換。

先從父母節點和子節點開始換,父母節點要比子節點大。

父母節點都比子節點大了。

最後換成,root 是最大值。
得到每一層節點都比下一層大
把頂端最大值換到最底層:
這裡跟選擇排序有點類似,當換過之後,就不用再處理這個節點。

上圖已經被破壞了,我們要想辦法維持它是最大堆(父母節點比子節點大)的狀態,所以要繼續進行第三步。


維持成最大堆後,再去最底層跟最小值換,這時候 9 和 10 已經被排序好了。
但是跟第三步一樣,已經不是最大堆或是最小堆了,所以繼續交換使其為最大堆。

已經是最大堆了,那我們就把最頂端跟最底層的最小值交換。

複習各種排序
堆疊(Stack)佇列(Queue)
堆疊的運作方式是「後進先出」(Last In, First Out,LIFO),也就是最後放入堆疊的元素會最先被取出。想像一個裝滿書的盒子,你最後放進去的書會是最先拿出來的。
堆疊的方式如下圖,後進後出。

當輸入 pop() 最上面的會先被拿掉

以陣列顯示的話,輸入 pop() 會變成什麼呢?


最後面的 3 會被踢掉,就等於是最一疊數字的最頂端會被踢掉。
而排序的方式則是先進先出。First in First out,所以當我按 dequeue() 刪除時,會先將第一個踢出去。



原始的資料。

刪除一個值,是從前面開始刪除。
DSA 相關問題補充:
旅行銷售員問題(The Traveling Salesman Problem, TSP)
給定一系列城市及任兩個城市間的距離,找出造訪每個城市一次並回到起始城市的最短路線
旅行銷售員問題是一個經典的組合最佳化問題,其目標是找到一條最短路徑,讓業務員可以在多個城市間巡迴,並最終回到起點。這個問題非常實際,尤其在物流和供應鏈管理中,但時間複雜度非常高,為 O(n!)。
為什麼是 O(n!)?
對於 n 個城市,旅行者必須考慮所有可能的城市排列。舉例來說,若有 3 個城市(例如 A、B 和 C),那麼所有的路徑排列如下:
- A -> B -> C -> A
- A -> C -> B -> A
- B -> A -> C -> B
- B -> C -> A -> B
- C -> A -> B -> C
- C -> B -> A -> C
這些排列的數量是 n!(n 的階乘),即 3!=3×2×1=6。若有 10 個城市,則計算量會更驚人,因為 10!=3,628,800。
樹狀圖解釋
為了更直觀地理解旅行銷售員問題,可以用樹狀圖來表示所有可能的路徑:
- 第一層:從城市 1(例如 A)出發。
- 第二層:接下來可以到城市 2(B)或城市 3(C),所以在第二層會畫出兩條分支,分別是 A -> B 和 A -> C。
- 第三層:如果選擇了 A -> B,則第三層會有 B -> C,然後再回到 A。如果選擇了 A -> C,則第三層會有 C -> B,然後回到 A。
這樣的樹狀圖會逐步展開,直到所有可能的排列都被列出來。最終,必須計算每條路徑的距離,並選擇最短的那一條。
詳細影片解說
4.7 Traveling Salesperson Problem - Dynamic Programming
感謝你看到這裡,有任何問題,歡迎指教~











