漩渦是氣流的重要特徵,在流體力學中會將氣流分成主流(primary flow)與二次流(secondary flow)以便於分析,主流是由無旋性及無黏滯性的流體所形成的特徵,也就是所謂的理想流體,而在真實流體中會因為與邊界摩擦或其他干擾而產生的擾流則統稱為二次流,最常見的就是在流體邊界所產生的邊界層,在邊界層中所呈現的是一堆的漩渦,這些漩渦通常是無用的能量,使得可用的流體能量減少,也是造成航空發動機中壓縮機失速的原因。

圖一、通道漩渦

圖二、馬蹄漩渦與通道漩渦
但直到1970年代學界才開始熱衷於二次流的分析研究,文獻[3]在1980年提出其漩渦模型,如圖二。圖中入口氣流的邊界層在葉片的前端被切分成兩股氣流,並形成漩渦,在葉片凹面(壓力面)形成的馬蹄漩渦與葉片凸面(吸力面)形成的通道漩渦,其旋轉方向相同,並在葉片的尾端匯流在一起。
漩渦的定量描述以朗肯漩渦(Rankine vortex)模型影響最大,朗肯是著名的蘇格蘭科學家,華氏溫度系統中的絕對溫度單位R也是以他的名字Rankine命名的,這是一個二維的模型,其漩渦的速度分布描述如下:

圖三、朗肯漩渦的周向速度分布
徑向速度為零,
周向速度由剛體漩渦及勢渦兩部分所組成,簡單地說可視為一個半徑為rf的圓盤在觀察截面上旋轉,而圓盤外的流體為理想流體,
其數學式如下:

這個模型大致符合學界對漩渦周向速度的觀察,即漩渦中心速度為零,速度隨著半徑增加而增加,到達最大速度後,其速度則隨半徑增加而緩慢減小,因此後續推演出很多方程式用來解釋漩渦在流體中的現象,但這個模型最大的缺點有兩個:一是不現實,實際流體中不存在剛體漩渦,二是此模型由兩個漩渦模式以人為方式組合而成,交界處存在異點(singular point),導致其速度無法作微分,不利於應用在相關的流場方程式,後續雖也有修正的模型,但都無法解決上述的缺點。

圖四、測量的漩渦周向速度
實測的周向速度分布如圖四,參見文獻[4],其速度分布與朗肯漩渦模型近似,但當速度接近最大時,速度增加的幅度會變小,且最大速度的半徑處是連續可微分,微分值為零。這個實驗數據明顯上下兩條曲線不對稱,是因測量截面沒有與漩渦中心前進的方向垂直導致,正確的速度分布預期介於這兩條曲線之間。

圖五、朗肯漩渦與實測的速度比較
圖五以對準漩渦中心及其最大周向速度位置來比較朗肯漩渦的速度分布,可以看出朗肯漩渦的速度值偏低,若以此模型進行計算會低估能量損失。
流體力學教科書中有另外一個以非穩態Navier-Stokes公式推導出來的周向速度分布,


圖六、非穩態周向速度分布
這是一個非常漂亮的解析解,但由於非穩態,又是空間一維的狀況,上課時通常只有簡單的介紹,再推演方程式,在應用上很少被提及,其速度分布曲線如圖六,這個速度分布與實測的漩渦速度分布非常相似,當時間t等於某個固定值時,也可視為在某個時刻下,氣流截面的漩渦速度分布。
依據文獻[5],此速度可以改寫成

方程式(一)
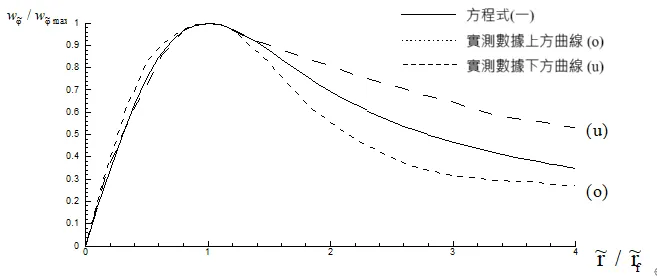
其中常數Kb = 1.25643...,rf 是最大周向速度所在的半徑,速度分布與實測數據的比較相當符合,如圖七。

圖七、方程式(一)與實測數據比較

正如颱風或是在浴室洗臉台放水時產生的漩渦,漩渦的形狀是圓錐形的,隨著漩渦的前進,其半徑為逐漸地變大或縮小,在漩渦速度的研究中,常會使用速度的等角圖來觀察分析,在其前進的截面上取卡氏座標(x,y,z, z為漩渦中心的前進方向)的某一方向如x或y方向的分速度相對於z方向速度角度tan-1(wx/wz)或tan-1(wy/wz)的分布,

圖八、朗肯漩渦x分速等角圖
當朗肯漩渦沒有加上徑向速度時,漩渦的半徑會維持相同,也就是圓筒形的漩渦,若假設z方向的速度均勻不變,其x分速的等角圖分布會如圖八,在中心剛體漩渦部分為密集的直線,直線與x軸平行,封閉曲線最內圈類似碗的形狀,上下兩個碗型的中心連線在y軸上,與x軸垂直,y分速的等角圖則如圖八轉90度。

圖九、實測的x分速等角圖
如前述文獻[4]實測漩渦所得的x分速等角圖如圖九,明顯的差異有二,一是封閉曲線最內圈的形狀不像朗肯漩渦的碗形而接近橢圓形,這是由於周向速度分布不同產生,其二是上下兩個橢圓中心的連線與x軸夾角不垂直,這是由徑向速度分量造成的。

圖十、含徑向速度漩渦的x分速等角圖
文獻[5]提供含徑向速度漩渦的x分速等角圖,其z向速度假設為定值,圓形虛線為其周向速度最大值的位置,其分布圖以較接近實測的數據。

圖十一、壓力梯度與旋轉方向對等角圖對稱線的影響
文獻[6]提供漩渦外形(壓力梯度)、旋轉方向對等角圖的影響,如圖十一,以對應的第一個圖(位置2,2)說明,漩渦前進方向壓力增加(dp/dz>0)時,漩渦半徑會逐漸增加,若其逆時鐘旋轉,其等角圖中的對稱線與x軸的夾角為正值。
因此當我們觀察等角圖時就能判斷漩渦所在的壓力梯度、外形與旋轉方向。

圖十二、漩渦軸向速度分布
漩渦的前進方向的速度也不會是定值,文獻[5]推導的速度分布如圖十二。
流場分析對現在的科學家仍舊是一個很複雜問題,就如描述流場現象的完整Navier-Stokes方程式解不出來,即便使用數值方法仍舊要依賴一些假設,再佐以實驗數據修正參數,才能取得看起來還可以的結果,對於漩渦特性的探討或許能對流場的現象有進一步的了解。
參考文獻:
[1] Hawthorne, W. R., Rotational Flow Through Cascades, Part I: The Component of Vorticity, Quart. 3, Mech. Appl. Math., Vol. 8, 1955, s. 266-279
[2] Klein, A., Untersuchungen über den Einfluß der Zuströmgrenzschicht auf die Sekundärströmungen in den Beschaufelungen von Axialturbinen Forsch. Ing.-Wes. 32, 1966
[3] Langston, L.A., Crossflows in a Turbine Cascade Passage ASME Journal of Engineering for Power, Vol. 102, No.4, Oct. 1980, s. 866-874
[4] Eckerle, W. A. & Langston, L.S., Measurements of a Turbulent Horseshoe Vortex Formed Around a Cylinder, NASA Contractor Report 3986, June 1986
[5] W.Y. Huang, Theoretische Analyse von Strömungsfeldern mit einem räumlichen Wirbelmodell, Dissertation, 1999.
[6] Binder, A., Instationäre Strömungsvorgänge im Laufrad einer Turbine Dissertation, RWTH Aachen, 1986





















