三次多項式函數化標準式(三)

更新 發佈閱讀 1 分鐘
vocus|新世代的創作平台

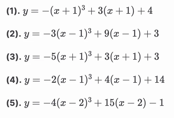
解答:

vocus|新世代的創作平台


留言
avatar-img
WilliamP的沙龍
16會員
621內容數
歡迎來到 WilliamP 的沙龍天地,在這裡將與各位讀者探討各種主題,包刮高中數學題庫、PHP開發經驗、LINE聊天機器人開發經驗、書摘筆記等,歡迎交流!
WilliamP的沙龍的其他內容
2025/04/27
高中數學主題練習—列運算解三元一次方程式
Thumbnail
2025/04/27
高中數學主題練習—列運算解三元一次方程式
Thumbnail
2025/04/27
高中數學主題練習—列運算解二元一次方程式
Thumbnail
2025/04/27
高中數學主題練習—列運算解二元一次方程式
Thumbnail
2025/04/27
高中數學主題練習—轉移矩陣
Thumbnail
2025/04/27
高中數學主題練習—轉移矩陣
Thumbnail
看更多
你可能也想看
Thumbnail
本文分析導演巴里・柯斯基(Barrie Kosky)如何運用極簡的舞臺配置,將布萊希特(Bertolt Brecht)的「疏離效果」轉化為視覺奇觀與黑色幽默,探討《三便士歌劇》在當代劇場中的新詮釋,並藉由舞臺、燈光、服裝、音樂等多方面,分析該作如何在保留批判核心的同時,觸及觀眾的觀看位置與人性幽微。
Thumbnail
本文分析導演巴里・柯斯基(Barrie Kosky)如何運用極簡的舞臺配置,將布萊希特(Bertolt Brecht)的「疏離效果」轉化為視覺奇觀與黑色幽默,探討《三便士歌劇》在當代劇場中的新詮釋,並藉由舞臺、燈光、服裝、音樂等多方面,分析該作如何在保留批判核心的同時,觸及觀眾的觀看位置與人性幽微。
Thumbnail
背景:從冷門配角到市場主線,算力與電力被重新定價   小P從2008進入股市,每一個時期的投資亮點都不同,記得2009蘋果手機剛上市,當時蘋果只要在媒體上提到哪一間供應鏈,隔天股價就有驚人的表現,當時光學鏡頭非常熱門,因為手機第一次搭上鏡頭可以拍照,也造就傳統相機廠的殞落,如今手機已經全面普及,題
Thumbnail
背景:從冷門配角到市場主線,算力與電力被重新定價   小P從2008進入股市,每一個時期的投資亮點都不同,記得2009蘋果手機剛上市,當時蘋果只要在媒體上提到哪一間供應鏈,隔天股價就有驚人的表現,當時光學鏡頭非常熱門,因為手機第一次搭上鏡頭可以拍照,也造就傳統相機廠的殞落,如今手機已經全面普及,題
Thumbnail
題目敘述 題目會給定一個整數陣列arr,要求我們判斷是否每個元素的出現次數都不同? 題目的原文敘述 測試範例 Example 1: Input: arr = [1,2,2,1,1,3] Output: true Explanation: The value 1 has 3 occurre
Thumbnail
題目敘述 題目會給定一個整數陣列arr,要求我們判斷是否每個元素的出現次數都不同? 題目的原文敘述 測試範例 Example 1: Input: arr = [1,2,2,1,1,3] Output: true Explanation: The value 1 has 3 occurre
Thumbnail
這是一場修復文化與重建精神的儀式,觀眾不需要完全看懂《遊林驚夢:巧遇Hagay》,但你能感受心與土地團聚的渴望,也不急著在此處釐清或定義什麼,但你的在場感受,就是一條線索,關於如何找著自己的路徑、自己的聲音。
Thumbnail
這是一場修復文化與重建精神的儀式,觀眾不需要完全看懂《遊林驚夢:巧遇Hagay》,但你能感受心與土地團聚的渴望,也不急著在此處釐清或定義什麼,但你的在場感受,就是一條線索,關於如何找著自己的路徑、自己的聲音。
Thumbnail
題目敘述 題目會給我們一個參數k 和 目標值n。 請問我們從1~9內挑k個相異的數字,使得他們的總和為n 的組合數有多少? 挑選時,每個數字必須相異,而且每個數字只能選一次。 題目的原文敘述 測試範例 Example 1: Input: k = 3, n = 7 Output: [
Thumbnail
題目敘述 題目會給我們一個參數k 和 目標值n。 請問我們從1~9內挑k個相異的數字,使得他們的總和為n 的組合數有多少? 挑選時,每個數字必須相異,而且每個數字只能選一次。 題目的原文敘述 測試範例 Example 1: Input: k = 3, n = 7 Output: [
Thumbnail
題目敘述 Single Number III 給定一個輸入陣列,已知有兩個烙單的數字,其他剩餘的數字都恰巧出現兩次。 請找出這兩個烙單的數字。 題目額外提出限制,請使用O(n)線性時間、O(1)常數空間複雜度的演算法。 測試範例 Example 1: Input: nums = [1,
Thumbnail
題目敘述 Single Number III 給定一個輸入陣列,已知有兩個烙單的數字,其他剩餘的數字都恰巧出現兩次。 請找出這兩個烙單的數字。 題目額外提出限制,請使用O(n)線性時間、O(1)常數空間複雜度的演算法。 測試範例 Example 1: Input: nums = [1,
Thumbnail
題目敘述 Combination Sum IV 給定一個輸入陣列nums,和目標值target,從nums裡面挑數字去湊出總和 = target,數字可以重複挑選。 請問有多少排列數可以湊出target? 註: 排列數的意思就是位置不同代表兩種不同的方法數。
Thumbnail
題目敘述 Combination Sum IV 給定一個輸入陣列nums,和目標值target,從nums裡面挑數字去湊出總和 = target,數字可以重複挑選。 請問有多少排列數可以湊出target? 註: 排列數的意思就是位置不同代表兩種不同的方法數。
Thumbnail
《轉轉生》(Re:INCARNATION)為奈及利亞編舞家庫德斯.奧尼奎庫與 Q 舞團創作的當代舞蹈作品,結合拉各斯街頭節奏、Afrobeat/Afrobeats、以及約魯巴宇宙觀的非線性時間,建構出關於輪迴的「誕生—死亡—重生」儀式結構。本文將從約魯巴哲學概念出發,解析其去殖民的身體政治。
Thumbnail
《轉轉生》(Re:INCARNATION)為奈及利亞編舞家庫德斯.奧尼奎庫與 Q 舞團創作的當代舞蹈作品,結合拉各斯街頭節奏、Afrobeat/Afrobeats、以及約魯巴宇宙觀的非線性時間,建構出關於輪迴的「誕生—死亡—重生」儀式結構。本文將從約魯巴哲學概念出發,解析其去殖民的身體政治。
Thumbnail
題目敘述 題目會給我們一個輸入陣列nums,要求我們判斷輸入陣列nums內部是否存在長度為三的遞增子序列? 題目的原文敘述 測試範例 Example 1: Input: nums = [1,2,3,4,5] Output: true Explanation: Any triplet wh
Thumbnail
題目敘述 題目會給我們一個輸入陣列nums,要求我們判斷輸入陣列nums內部是否存在長度為三的遞增子序列? 題目的原文敘述 測試範例 Example 1: Input: nums = [1,2,3,4,5] Output: true Explanation: Any triplet wh
Thumbnail
112屏東高中數學科教師甄選試題及詳解
Thumbnail
112屏東高中數學科教師甄選試題及詳解
Thumbnail
題目敘述 輸入給定一個鏈結串列,整體看代表一個十進位的數字,各別看每個節點代表每個digit,分別從最高位~最低位個位數。 要求我們把原本的數字乘以二,並且以鏈結串列的形式返回答案。 原本的英文題目敘述
Thumbnail
題目敘述 輸入給定一個鏈結串列,整體看代表一個十進位的數字,各別看每個節點代表每個digit,分別從最高位~最低位個位數。 要求我們把原本的數字乘以二,並且以鏈結串列的形式返回答案。 原本的英文題目敘述
追蹤感興趣的內容從 Google News 追蹤更多 vocus 的最新精選內容追蹤 Google News