目的
將複雜的積分式子轉換成簡單的變數 u 的形式,使得積分更容易計算。
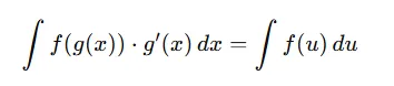
基本公式
若令 u=g(x),則
標準步驟
- 選定代換的變數 u=g(x)。
- 求導數 du=g′(x) dx。
- 代入積分式,將原式轉換成 u 的函數
- 積分後還原 u→x。
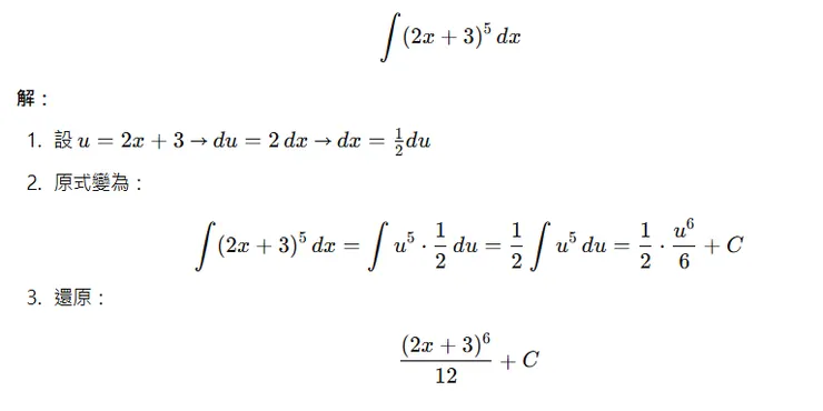
例題1

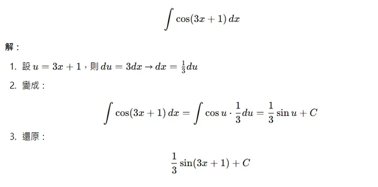
例題2

讀者要知道的是,我們可藉由三角函數的微分結果反推回積分,兩者互為反操作,很容易轉換的。
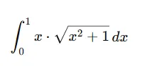
利用代換積分法求定積分
作法其實差不多,不過要注意的是: 代換後也要對應變更積分上下限!
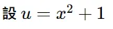
題目:

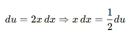
Step 1:

則有:

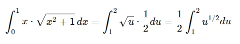
Step 2: 改變積分上下限
原來是 x=0 到 x=1,變更為:

所以新的上下限為: u=1 到 u=2
Step 3: 代換積分式

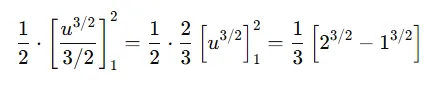
Step 4: 積分計算

最終答案:

本頻道持續更新中(內容涵蓋前端程式設計入門、大學必備程式設計入門、電子系專業課程入門、數學微積分題解)如果身旁有相關科系的學生,不妨推薦一下喔~
相信這裡會是家教或線上課程之外,高中、大學生系統性綜合學習的好選擇。
最後感謝您的觀看!



















