付費限定

大學微積分題解-定積分的體積計算應用(使用截面計算體積之觀念解說)

更新 發佈閱讀 1 分鐘

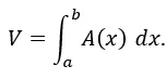
當我們要計算對應於將區間 [a,b] 由多個其面積為 A(x) 的橫截面所組成之體積 S,我們會使用以下公式:

vocus|新世代的創作平台
以行動支持創作者!付費即可解鎖
本篇內容共 327 字、0 則留言,僅發佈於大學數學你目前無法檢視以下內容,可能因為尚未登入,或沒有該房間的查看權限。
留言
avatar-img
電資鼠 - 您的學習好夥伴
25會員
242內容數
在當今數位時代,電資領域人才需求爆發式成長,不論是前端網頁設計、嵌入式開發、人工智慧、物聯網還是軟硬體整合,這些技術都在改變世界。而掌握 C/C++、Python、數位邏輯、電路學與嵌入式開發等大學電資領域的課程,正是進入這個高薪、高需求產業的關鍵!
2025/04/30
本章節介紹二變數函數的極限觀念,並提供幾題單元範圍內的範例練習,讓讀者更加了解本章節所教之觀念。
Thumbnail
2025/04/30
本章節介紹二變數函數的極限觀念,並提供幾題單元範圍內的範例練習,讓讀者更加了解本章節所教之觀念。
Thumbnail
2025/04/30
本章節深入淺出介紹多變數函數的定義、幾何觀念與範例演習,讓讀者能夠大致掌握本單元的重點。
Thumbnail
2025/04/30
本章節深入淺出介紹多變數函數的定義、幾何觀念與範例演習,讓讀者能夠大致掌握本單元的重點。
Thumbnail
2025/04/30
本單元介紹參數曲線的微積分,讀者將能了解"參數式與微積分"的多樣題型並學會如何解答它們
Thumbnail
2025/04/30
本單元介紹參數曲線的微積分,讀者將能了解"參數式與微積分"的多樣題型並學會如何解答它們
Thumbnail
看更多
你可能也想看
Thumbnail
《轉轉生》(Re:INCARNATION)為奈及利亞編舞家庫德斯.奧尼奎庫與 Q 舞團創作的當代舞蹈作品,結合拉各斯街頭節奏、Afrobeat/Afrobeats、以及約魯巴宇宙觀的非線性時間,建構出關於輪迴的「誕生—死亡—重生」儀式結構。本文將從約魯巴哲學概念出發,解析其去殖民的身體政治。
Thumbnail
《轉轉生》(Re:INCARNATION)為奈及利亞編舞家庫德斯.奧尼奎庫與 Q 舞團創作的當代舞蹈作品,結合拉各斯街頭節奏、Afrobeat/Afrobeats、以及約魯巴宇宙觀的非線性時間,建構出關於輪迴的「誕生—死亡—重生」儀式結構。本文將從約魯巴哲學概念出發,解析其去殖民的身體政治。
Thumbnail
高中數學主題練習—向量分點公式
Thumbnail
高中數學主題練習—向量分點公式
Thumbnail
高中數學主題練習—平面向量內積計算
Thumbnail
高中數學主題練習—平面向量內積計算
Thumbnail
高中數學主題練習—平面向量內積計算
Thumbnail
高中數學主題練習—平面向量內積計算
Thumbnail
這是一場修復文化與重建精神的儀式,觀眾不需要完全看懂《遊林驚夢:巧遇Hagay》,但你能感受心與土地團聚的渴望,也不急著在此處釐清或定義什麼,但你的在場感受,就是一條線索,關於如何找著自己的路徑、自己的聲音。
Thumbnail
這是一場修復文化與重建精神的儀式,觀眾不需要完全看懂《遊林驚夢:巧遇Hagay》,但你能感受心與土地團聚的渴望,也不急著在此處釐清或定義什麼,但你的在場感受,就是一條線索,關於如何找著自己的路徑、自己的聲音。
Thumbnail
在AI浪潮下,009819 中信美國數據中心及電力ETF 直接卡位算力與電力雙主軸,等於掌握AI最核心基建。2008從 Apple Inc. 與 iPhone 帶動供應鏈,到如今AI崛起,主線已由應用端轉向底層。AI發展離不開算力與電力支撐,009819的價值,在於押中「沒有它不行」的核心資產。
Thumbnail
在AI浪潮下,009819 中信美國數據中心及電力ETF 直接卡位算力與電力雙主軸,等於掌握AI最核心基建。2008從 Apple Inc. 與 iPhone 帶動供應鏈,到如今AI崛起,主線已由應用端轉向底層。AI發展離不開算力與電力支撐,009819的價值,在於押中「沒有它不行」的核心資產。
Thumbnail
高中數學主題練習—分點計算
Thumbnail
高中數學主題練習—分點計算
Thumbnail
高中數學主題練習—平面向量內積計算 解答:
Thumbnail
高中數學主題練習—平面向量內積計算 解答:
Thumbnail
高中數學主題練習—向量分點公式
Thumbnail
高中數學主題練習—向量分點公式
Thumbnail
高中數學主題練習—分點計算
Thumbnail
高中數學主題練習—分點計算
Thumbnail
本文分析導演巴里・柯斯基(Barrie Kosky)如何運用極簡的舞臺配置,將布萊希特(Bertolt Brecht)的「疏離效果」轉化為視覺奇觀與黑色幽默,探討《三便士歌劇》在當代劇場中的新詮釋,並藉由舞臺、燈光、服裝、音樂等多方面,分析該作如何在保留批判核心的同時,觸及觀眾的觀看位置與人性幽微。
Thumbnail
本文分析導演巴里・柯斯基(Barrie Kosky)如何運用極簡的舞臺配置,將布萊希特(Bertolt Brecht)的「疏離效果」轉化為視覺奇觀與黑色幽默,探討《三便士歌劇》在當代劇場中的新詮釋,並藉由舞臺、燈光、服裝、音樂等多方面,分析該作如何在保留批判核心的同時,觸及觀眾的觀看位置與人性幽微。
Thumbnail
高中數學主題練習—平面向量內積計算
Thumbnail
高中數學主題練習—平面向量內積計算
追蹤感興趣的內容從 Google News 追蹤更多 vocus 的最新精選內容追蹤 Google News