定義簡單說明
若對所有足夠靠近某點 (x0,y0) 的點 (x,y),函數 f(x,y) 的值都會趨近某個固定實數 L,我們就說:

注意事項
與單變數不同的是,在二變數情況下:
- 點 (x,y) 可以從任意方向靠近 (x0,y0) ,而不只是從左邊或右邊。
- 極限要存在,必須無論從哪個方向趨近,都要得到同一個極限值 L。
這也就是為什麼多變數極限的判別比單變數更複雜。
解題說明
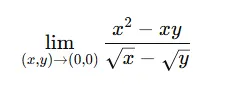
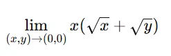
計算下列極限:

說明:
當 (x,y)→(0,0) 時,整個式子為「0 / 0」的不定形式,不能直接計算極限:
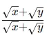
我們透過將整個式子乘上:

即:

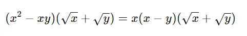
分母變為:

分子展開:

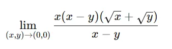
→ 所以整個式子可化為

約掉 x−y,最後只剩下:

最終本題答案為0。
- 另外請注意,多變數函數有別於單變數函數,不能使用羅必達法則~
多變數函數的連續性
就像單變數一樣,多變數函數的連續性定義也是建立在極限的基礎上。
一個函數 f(x,y) 在某點 (x0,y0) 處是連續的,需同時滿足以下三個條件:
- 函數在該點有定義

- 函數在該點的極限存在

- 函數值與極限值相等

最後,如果函數在其定義域的每個點上都是連續的,則該函數是連續的。
連續的判斷練習
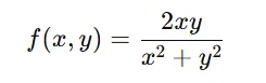
Example 1
證明函數:

在原點 不連續,但在原點以外的每一點都連續。
因為當 (x,y)≠(0,0) 時,f(x,y) 是由一個有理式(rational expression)組成,分母不為零 ⇒ 函數在這些點是連續的。
現在我們必須檢查極限是否存在且等於定義值 f(0,0)=0
- 這邊使用路徑檢驗法: 使用不同路徑來逼近 (0,0)
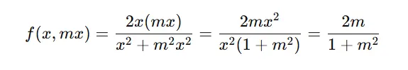
令直線路徑為 y=mx,代入得

得出結論:
- 不同斜率 m 得到不同極限值
- 所以沒有單一極限值
- ⇒ 原點極限不存在 ⇒ 函數在原點 不連續
下圖為本題不同路徑所帶來不同值的示意圖:

Example 2
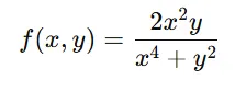
證明函數:

在點 (0,0) 處的極限不存在。
當 (x,y)→(0,0) 時,分母與分子都趨近於 0 ⇒ 為不定型,不能直接代入求解。
同樣使用路徑檢驗法,選擇不同路徑來逼近(0,0)。
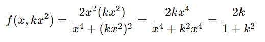
我們選擇路徑 y=kx2(拋物線型),將其帶入:

- 這個值只取決於 k(不同路徑 ⇒ 不同極限)。
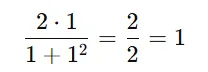
舉例來說,若從 y=x2(即 k=1)趨近,極限為:

若從 y=0(即 k=0,x 軸方向)趨近,極限為0。
下圖為本題不同路徑所帶來不同值的示意圖:

不知道讀者會不會有這個疑問,我怎麼知道要選 y=mx 還是 y=kx2,甚至其他路徑?
這背後牽涉到「選路徑的目的與技巧」,以下是完整的拆解說明:
- 路徑類型y=mx
- 最常見的測試路徑,簡單代入,能快速檢查「線性方向」的極限
- 路徑類型y=kx2
- 測試 非線性趨近,特別是當函數中包含 x2,y2 類似的結構時,適用場合為函數有高次項或平方時。
最後,你當然也可以挑選一條 y = x 和 y = 0 兩條路徑來測試,總而言之只要觀察到兩路徑不同,題目就沒有單一極限值。



















