前導
Improper Integrals(反常積分)是指上下限或 integrand 函數本身有無窮或不連續點的定積分。它不能用一般積分方式直接處理,而是透過極限來定義。
現在請觀察下圖: 這些無限曲線下的面積是有限的嗎?
答案是有的,為此,我需要先提到定義。
定義
- 若函數 f(x) 在區間 [a,∞) 上連續,則有:

- 若函數 f(x) 在區間 (−∞,b] 上連續,則有:

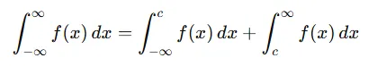
- 若函數 f(x) 在整條實數軸 (−∞,∞) 上連續,則有:

- 其中 c 可以是任意實數(通常選擇方便的點如 c=0)。
簡單範例
請看題目:

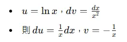
這裡使用分部積分法,設:

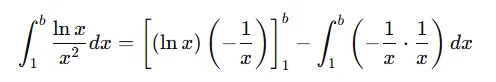
帶入分部積分公式得:

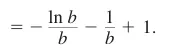
算出結果:

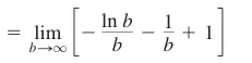
再來取極限(b→∞):

因為:

所以最終答案為: 積分收斂,面積具有有限值 1。
範例2
計算:

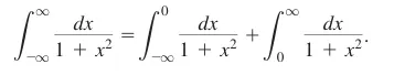
回到定義,我們可以將上式寫為:

這邊,我提供一下示意圖供讀者參考:

然後讀者可以注意,此題目被積分的函數,其實符合偶函數的定義,也就是說,我們只要計算出一邊的值,再乘以2就好了。
接下來評估右側某一個積分式:
對於:

這形式是不是有點熟悉:

最後再參考此圖形:

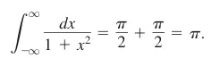
可以算出:

最後再乘以2得到答案:

範例3
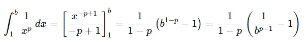
現在請看下圖:

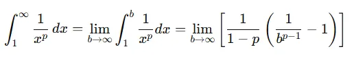
假設 p≠1,那我們先計算:

接著取極限 b→∞:

現在觀察:

現在如果考慮 p=1 呢,那就是:

所以 p=1 時積分也發散
所以總結後:

本頻道持續更新中(內容涵蓋前端程式設計入門、大學必備程式設計入門、電子系專業課程入門、數學微積分題解)如果身旁有相關科系的學生,不妨推薦一下喔~
相信這裡會是家教或線上課程之外,高中、大學生系統性綜合學習的好選擇。
最後感謝您的觀看!



















