前導
參數式(Parametric Equations) 是一種用「第三個變數(參數)」來描述 x 和 y 的方法。這種表示方式很適合描述時間、運動、路徑、幾何圖形等。
形式為:
在研究運動時,t 通常表示時間。這種方程式能夠描述比單一函數圖形更廣泛的曲線,也不僅僅提供了粒子所經過的路徑圖形,還能提供任意時刻 t 下粒子的位置:

上面式子就稱為一條 參數曲線(parametric curve)。若是一組方程式就是參數方程。
例子
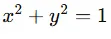
單位圓

的參數式為:

例子2
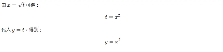
一個粒子在 xy 平面中的位置 P(x,y) 由以下參數式給出:

要求識別粒子追蹤的路徑並描述運動。
- 我們試著消去參數 t,從x 和 y 中找出代數關係:

但請注意,粒子的參數 t≥0,表示粒子只會出現在 x≥0 的右半邊拋物線,下圖示意:

擺線的參數式表示
題目
- 半徑為 a 的輪子沿著水平直線滾動。
- 找出圓周上一個點 P (右上角黃藍交錯那點)所形成的軌跡的參數式方程。
- 這樣的軌跡被稱為一條 擺線(cycloid)。

解法
- 將地面設為 x-軸
- 標記輪子上的一點 P,初始時 P 在原點
- 輪子向右滾動
- 令參數 t:表示輪子所轉過的弧度(以弧度表示)
幾何觀察
- 當輪子轉過 t 弧度時,其中心會向右移動 at 單位(因為弧長 = 半徑 × 弧度)
- 此時輪心的位置為 (at,a)
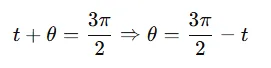
- 點 P 相對於圓心的位置為:

根據圖形,角度 θ 滿足:

代入三角函數得:

最終我們就得到了擺線的參數式:





















