本篇是接續金字塔衝裝法簡介的深入介紹,想了解金字塔衝裝法初步概念的人,可以先前往觀看。
本篇的內容有,啟動一輪金字塔所需成本的代數公式、強化裝備的成功機率代數計算、與直上法的差異,以上內容應是正在強化裝備的人想知道的問題,我就來幫大家算出來。
⚠️為了讓大家看到計算方式、公式多⚠️
⚠️可使用目錄功能轉跳看結論⚠️

啟動成本如何計算
定義變數
- ( X ): 基底裝備數量(參加第一次強化的乾淨裝備數)。
- ( Y ): 完成一輪金字塔衝裝法所需的卷軸總數。
- Ce: 每件基底裝備的成本(單位:楓幣)。
- Cs: 每張卷軸的成本(單位:楓幣)。
- Ps=0.6: 每張卷軸的成功機率(60%卷)。
- Rn: 強化至+n的裝備市場回收價值(例如 R1、R2、…、R5)。
- Nn: 強化至+n的裝備數量(副產物,隨機變數,後續會以期望值估算)。
預期卷軸總數 ( Y )
每件裝備從+0到+5的過程中,假設60%成功率,預估需求卷軸總數取決於每階段的成功機率。每一輪強化後篩選出成功的裝備繼續強化,失敗的就停止衝卷。
根據二項分佈,預期成功數量如下:
- +0 → +1:
X⋅0.6 件裝備成功,消耗 ( X ) 張卷軸。 - +1 → +2:
X⋅0.6⋅0.6=X⋅0.36 件裝備成功,消耗X⋅0.6 張卷軸。 - +2 → +3:
X⋅0.36⋅0.6=X⋅0.216 件裝備成功,消耗X⋅0.36 張卷軸。 - +3 → +4:
X⋅0.216⋅0.6=X⋅0.1296 件裝備成功,消耗X⋅0.216 張卷軸。 - +4 → +5:
X⋅0.1296⋅0.6=X⋅0.07776 件裝備成功,消耗X⋅0.1296 張卷軸。
總預期卷軸數 ( Y )(每件裝備最多強化5次,失敗則停止):
Y=X⋅(1+0.6+0.36+0.216+0.1296)=χ⋅2.3056
合併公式後,得知完成一輪所需的卷軸數約為:
Y≈2.3056⋅X
成本估算邏輯
- 基底裝備成本:X⋅Ce。
- 卷軸成本:總卷軸數 ( Y ) 乘以單張卷軸成本( Cs )。
- 回收收益:強化失敗或低階裝備(+1到+4)可出售,抵銷部分成本。
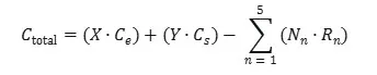
---結論---總成本計算公式

總成本 Ctotal :為基底裝備成本加上卷軸成本,減去預期回收收益(依當下價格帶入)
Ctotal=(X⋅Ce)+(Y⋅Cs)−∑n=15(Nn⋅Rn)---可以給ChatGPT叫他幫你算
公式中:
- Y=2.3056⋅X
- Nn: 預期強化至+n的裝備數量,根據二項分佈:
- N1=X⋅0.6(+1裝備數)。
- N2=X⋅0.36(+2裝備數)。
- N3=X⋅0.216(+3裝備數)。
- N4=X⋅0.1296(+4裝備數)。
- N5=X⋅0.07776(+5裝備數)。
- Rn: 每件+n裝備可賣出的市場價格(依當下價格帶入)。
※※若是7卷裝或10卷裝可以透過修改Nn做計算,但需自行追加N6-N10※※
今日市價模擬


預期需求、預期產出
以今日市價進行一次計算,工地手套:單個1萬楓幣,手套攻擊卷軸:單張160萬楓幣。
20個乾淨工地手套出發、需求卷軸47張(實際操作可能因隨機性偏離)。
⚠️預期⚠️產物數量
- +1: 12 件。
- +2: 7.2 件。
- +3: 4.32 件。
- +4: 2.592 件。
- +5: 1.5552 件。以20個手套出發完成一輪金字塔獲得的機率(76.71%)
在理論上仍有23.29%會產出0個+5,但若增加基底裝備數量可以降低一無所獲的機率;若基底26件,此機率將降低至17.17%;基底36件,此機率將降低至8.29%。
⚠️⚠️⚠️操作前請仔細思考風險⚠️⚠️⚠️
成本計算
- 基底裝備成本:
X⋅Ce=20⋅10,000=200,000 楓幣 - 卷軸成本:
Y⋅Cs=47⋅1,600,000=75,200,000 楓幣 - 總投入成本(不計回收):
(X⋅Ce)+(Y⋅Cs)=200,000+75,200,000=75,400,000 楓幣
對比市價

目前工地手套5過5的市價約470雪花,雪花比楓幣約1:9萬,可見拿工地手套執行金字塔已經不具經濟效益了,這也回答了上篇,誰適合啟動金字塔點法的問題,如果資金夠,市面有需求但沒有裝,評估利益之後就可以啟動。
獲得+5裝(5/5)機率估算
接續上一篇結尾所說,增加參與第一輪強化的裝備數量可以降低沒有獲得+5裝的機率,以下計算不同基底數量下成功+5的機率。
機率公式
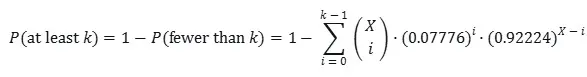
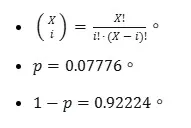
成功將裝備強化至+5的機率(p):p=0.65=0.07776 (與直上法相同,但金字塔法可以省錢)
預設使用 ( X ) 件基底裝備,至少有 ( k ) 件成功達到+5的機率,使用二項分佈的累積機率:

其中:

若要計算剛好獲取 ( k ) 件成功的機率:

不同基底數量獲取至少一件5/5的機率
根據公式計算後得知:
當X=20:P=1−(0.92224)20≈1−0.2329=0.7671 (76.71%)
當X=26:P=1−(0.92224)26≈1−0.1717=0.8283 (82.83%)
當X=36:P=1−(0.92224)36≈1−0.0829=0.9171 (91.71%)
…………當X=50:98.23%;X=100:99.97%。
⚠️⚠️⚠️操作前請仔細思考風險⚠️⚠️⚠️
當基底數量越多,啟動成本也將越多,簡易計算可以將整篇前後文(包含第一篇),複製下來丟給ChatGPT讓他幫你算成本和機率,前提是你自己也要檢查它算的對不對。
與直上法的差異
直上法:拿1個裝備直接衝卷強化,連續強化不停止,結果+幾就+幾。
機率計算
- 直上法:選擇單件裝備,連續強化至+5(或失敗後換另一件重試)。以20件基底為例,至少1件達到+5的機率為:
P(at least 1)=1−(0.92224)20≈0.7671 (76.71%) - 金字塔衝裝法:以20件基底同時開始,逐階強化,失敗的裝備停止,成功的繼續。至少1件達到+5的機率為:
P(at least 1)=1−(0.92224)20≈0.7671 (76.71%)
機率沒有差別,那差在哪?
產物價值
- 直上法:低強化等級的裝備,市場價值低,加上沒有剩餘卷數,較難以回收成本。
- 金字塔衝裝法:產生多件+3、+4裝備,且可能有剩餘卷數,價值較高。
卷軸使用效率
- 直上法:若單件連續失敗,可能浪費大量卷軸,第二次就失敗的裝,依然要點5張卷才知道結果。
- 金字塔衝裝法:預期卷軸數固定,強化失敗立即停止強化,減少浪費。
- 優勢:通過篩選機制,確保卷軸集中在有潛力的裝備上,減少資源浪費。
市場定價優勢
- 直上法:成功+5的裝備單件成本高,市場競爭難以壓低售價。
- 金字塔衝裝法:高階裝備(+4、+5)自行定價空間較大,若市場需求高,可賣出高價,面對直上法的競爭有更多利潤空間。
- 優勢:機率更可控,可觀察市場供需,進一步透過定價增加利潤。
我是 一語 推薦您閱讀更多我的文章:























