t檢定使用時機:不知道母群的標準差。
(備註:二項分配只適用z檢定,因其標準差是數學理論推導出來的)
不知道母群標準差,該怎麼解決?
用s^取代σ(因s^是σ的不偏估計數)。雖然s^會趨近於σ,但因為s^的抽樣分配是一個正偏態,若用z檢定的方式,我們會高估z值。因此,我們使用t檢定來解決這個問題。

s^、t檢定公式

s^的抽樣分配:正偏態,會因樣本數越大趨近常態
t檢定裡的重要概念:自由度
自由度的意思是可以任意填寫不同觀測值的個數。例如我們3個人的身高平均數是160cm,已知A是150cm,B是170cm,試問C的身高為何?我們可以推倒答案是160cm。所以在已知平均數的狀況下,A、B兩位的身高我可以任意決定數值,但C就只能存在一個數值。因此自由度是2,也就是N-1。自由度(df) = N-1
t分配
我們知道t檢定出來的值非常態分配,因此不能夠使用z-table。所以Gosset後來在研究之下找到了t分配,t-table找臨界值的方式很像z-table,但多了自由度。下圖我們可以知道,當樣本數越大時,t分配會越來越趨近常態分配,極端值的機率密度也會慢慢減少,信賴區間也會越來越窄。
tcrit = tp,df

不同的自由度的t分配
下面網站為查t-table的網站:
t檢定單一樣本

若我們今天想要觀察方法有沒有效,我們不能只有實驗組沒有對照組。因為根據霍桑效應,他發現只要被觀察,數據就會被改變。因此我們需要兩筆樣本資料來做分析。
t檢定相依樣本 / 配對樣本
同一批人或有相似性質的人(例:雙胞胎)做比對。因有兩個樣本,所以會有兩個數字,要如何計算?我們會使用差異分數的方式。

老師覺得期末考全班考得比期中考好,所以抽了10位學生來做比較,試問老師的猜測是否合理?(A為期中考樣本,B為期末考樣本)

有算差異分數以外的方式嗎?用Variance Sum Law直接算

效果量 Cohen's d
效果量有分 r family 和 d family。我們這邊要介紹的是 d family 中的 Cohen's。Cohen's 在算的是平均數差異是幾個標準差。

s^要帶哪一個呢?s^A、s^B還是s^D?答案是都可以喔!
t檢定獨立樣本
兩群不同樣本的人做研究。獨立樣本跟相依樣本的計算方式很像,只是不能用差異分數來算,因為非同一批人無法配對做差異比較。因無法做差異分數,只能用Variance sum law 的方式計算兩樣本平均數相減的變異數。
這時會發現要帶入σXA、σXB的數值,但在使用獨立t檢定的前提是σXA、σXB要一樣,否則會偏離t分配,無法準確估算機率。我們稱之為「變異數同質」。
變異數同質無法做到怎麼辦?
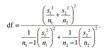
之後我們會教F檢定就可以解決這個情況,也可以使用 Welch t 檢定,計算特別的自由度,讓t值符合t分配。

Welch t 檢定自由度計算
除了以上方法外,變異數還有強韌性特質(至少滿足兩個):
- 若σXA>σXB,則σXA/σXB≦4可視為同質
- N相等,則不同不受影響
- 兩樣本母群形狀相同、對稱,則不受影響
σXA、σXB = σX,用pooled variance來代替σX
因為A、B兩樣本數不同,因此我們採用加權平均的方式來計算新的估計變異數--pooled variance。

假設利用隨機分派的方式,將20名受試者分成兩組:實驗組接受記憶術的訓練,而控制組不接受任何訓練。數週之後,這兩組受試者分別接受記憶力測驗,測驗結果如下所示:
實驗組:N1=10,X-1=9.58,S1=1.21
控制組:N2=10,X-2=7.42,S2=0.96
試問實驗組與控制組在記憶力測驗成績上有無顯著的差異存在?

結論
是否有統計方法能夠結合相依t檢定和獨立t檢定的優點?有的!就是變異數分析(ANOVA)。ANOVA較複雜,後面一點我們會再探討。
從z檢定到t檢定除了二項分配的探討,其餘我們都在處理等距和比率變項。下個統計方法我們要教的是卡方檢定,適用於探討名義變項。



















