二項式分配
基本概念
二項式分配只能使用在間接變項上,探討的是N個獨立的二分(成功、失敗)試驗。

除了p=0.5外,有其他方法讓分配趨近常態分配嗎
有的!不管p、q值為何,只要N很大的話,都會趨近常態分配喔!
那樣本數要多大呢?根據經驗裡,只要Np和Nq皆大於5的話,就趨近常態分配囉!
由上圖我們可以看到,y軸是機率,而非連續變項的機率密度。可知,二項式分配是有特定值得機率。
期望值(expected value)
今天你和小明在玩擲銅板的遊戲,小明說:如果擲到正面我給你50元,如果擲到反面你給我50元。這時,你是不是玩的動力沒有那麼大,甚至要小明不斷地激你,你才有可能下去玩呢?
但如果今天,小明改口說:如果擲到正面我給你100元,如果擲到反面你給我50元。是不是你就會毫不猶豫賭一把?明明正反的機率都還是0.5,為什麼意願上會有不同的差別呢?
用期望值評估風險
我們了解機率,不外乎就是想要做出對的選擇,讓自己贏面更大。因此,我們有期望值這個評估的工具,讓我們可以理性的想一想是否要下去玩這場遊戲。以下的範例,我們會用獨立且機率相同的樣本點來做探討。
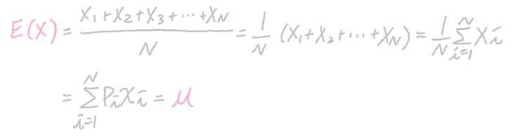
E(X)

為什麼E(X)可以寫成等於μ呢?
我們知道樣本點越多,越接近母群。這裡我們的N代表的是已經足夠可以代表母群分布的樣本數了。因此,樣本平均數會等於母群平均數。
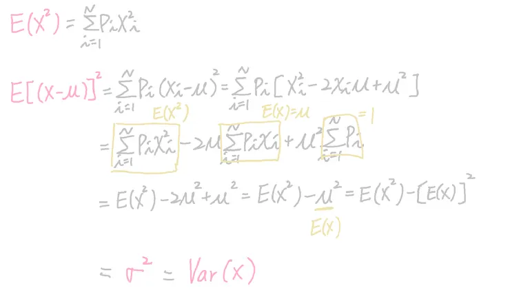
E(X2)、E[(X-μ)2]:求得變異數

期望值相加:可計算重複抽取
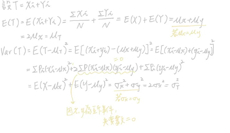
若我們假設Y是跟X一樣的樣本空間,我們可以知道Y只是抽一次重複的樣本。因此如果我們今天要算重複抽取的期望值的話,可以得出下面這個公式(在樣本點互斥和重複抽取之間獨立才成立):

設T是抽取N次的X樣本,則E(T)和Var(T)為:
E(T)=N*μx
Var(T)=N*σx2
接下來,我們要把期望值應用在二項分配!
期望值應用在二項分配
中獎機率是p,抽了N次,我期待的中獎次數是...?
二項分配中,我們將成功視為1,失敗視為0。

從以上推導,我們可以知道若中獎機率是0.5,抽了10次的話,我的期望值是10*0.5=5!因此我期望我這10抽裡應該會有5次的中獎機會!因此,如果你一張都沒抽到的話,就可以去質疑店家是否亂說話了~~























