OPA (Operational Amplifier, 運算放大器)

更新 發佈閱讀 2 分鐘

基本概念

OPA 是一種高增益的電子放大器,主要用途是將輸入的微小電壓差放大。它本身通常用於組成各種模擬電路,例如訊號放大、濾波、比較、運算等。

理想的 OPA 具有以下特性:

  • 無限大的輸入阻抗
  • 零輸出阻抗
  • 無限大的開迴路增益

結構與符號

OPA 的基本符號如下所示:

vocus|新世代的創作平台

更詳細的內部模型如下:

vocus|新世代的創作平台

輸出公式為: Vo = A(V+ - V-),這邊要注意的是,實際的放大器會偏離理想情況,增益 A  < ∞,實際增益可能是105~106,雖然很大但不是無限、輸入電阻趨近於無限、輸出電阻趨近於0。

閉迴路增益 (Closed-loop gain)

即透過 回授電路 (Feedback Network) 控制後,OPA 輸入與輸出的實際增益。典型的例子為非反向放大器(圖1)、反向放大器(圖2)。

vocus|新世代的創作平台

由於理想OPA的輸入阻抗為無窮大,故沒有電流流入或流出OPA的輸入端,即 I = 0,,另外該注意的還有一點,經輸入電壓放大後的輸出電壓,若超過VCC或低於-VCC,則輸出飽和,輸出電壓會維持在VCC-VCC這兩個數值,也就是說,輸出電壓的範圍不會超過這兩個數值

虛短路

在運算放大器工作於 負回授 (Negative Feedback) 條件下時,兩個輸入端電壓會 幾乎相等,因為:

vocus|新世代的創作平台

約為0,也就是說,V+ = V-,兩端電壓差趨近 0,彷彿被一條線短路起來,卻沒有電流通過,所以才稱為虛短路。

虛短路成立的條件為工作於線性區,若進入飽和區,則電路就不適用虛短路特性。

vocus|新世代的創作平台
vocus|新世代的創作平台

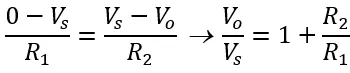
反向放大器

vocus|新世代的創作平台

利用輸入電流為0特性,我們知道流入R1的電流會等於流入R2的電流、另外再套用虛短路特性可以這樣列式:

vocus|新世代的創作平台

以上就是反向放大器的電壓增益公式。

非反向放大器

vocus|新世代的創作平台

列式如下:

vocus|新世代的創作平台

以上就是非反向放大器的電壓增益公式。

vocus|新世代的創作平台
留言
avatar-img
電資鼠 - 您的學習好夥伴
23會員
242內容數
在當今數位時代,電資領域人才需求爆發式成長,不論是前端網頁設計、嵌入式開發、人工智慧、物聯網還是軟硬體整合,這些技術都在改變世界。而掌握 C/C++、Python、數位邏輯、電路學與嵌入式開發等大學電資領域的課程,正是進入這個高薪、高需求產業的關鍵!
2025/09/26
本文介紹一些特殊的電路分析技巧,包括電橋平衡以及密爾門定理
Thumbnail
2025/09/26
本文介紹一些特殊的電路分析技巧,包括電橋平衡以及密爾門定理
Thumbnail
2025/09/21
本章節要講解戴維寧等效、諾頓等校在「只有受控源 (dependent sources)」的電路裡該怎麼處理,是為戴維寧、諾頓等校電路之進階分析技巧。
Thumbnail
2025/09/21
本章節要講解戴維寧等效、諾頓等校在「只有受控源 (dependent sources)」的電路裡該怎麼處理,是為戴維寧、諾頓等校電路之進階分析技巧。
Thumbnail
2025/09/21
本文深入淺出地解釋疊加原理,並詳細說明戴維寧等效電路和諾頓等效電路的概念、計算步驟及應用。透過簡潔的說明和步驟,幫助讀者輕鬆理解這些重要的電路分析方法。
Thumbnail
2025/09/21
本文深入淺出地解釋疊加原理,並詳細說明戴維寧等效電路和諾頓等效電路的概念、計算步驟及應用。透過簡潔的說明和步驟,幫助讀者輕鬆理解這些重要的電路分析方法。
Thumbnail
看更多
你可能也想看
Thumbnail
本文分析導演巴里・柯斯基(Barrie Kosky)如何運用極簡的舞臺配置,將布萊希特(Bertolt Brecht)的「疏離效果」轉化為視覺奇觀與黑色幽默,探討《三便士歌劇》在當代劇場中的新詮釋,並藉由舞臺、燈光、服裝、音樂等多方面,分析該作如何在保留批判核心的同時,觸及觀眾的觀看位置與人性幽微。
Thumbnail
本文分析導演巴里・柯斯基(Barrie Kosky)如何運用極簡的舞臺配置,將布萊希特(Bertolt Brecht)的「疏離效果」轉化為視覺奇觀與黑色幽默,探討《三便士歌劇》在當代劇場中的新詮釋,並藉由舞臺、燈光、服裝、音樂等多方面,分析該作如何在保留批判核心的同時,觸及觀眾的觀看位置與人性幽微。
Thumbnail
這是一場修復文化與重建精神的儀式,觀眾不需要完全看懂《遊林驚夢:巧遇Hagay》,但你能感受心與土地團聚的渴望,也不急著在此處釐清或定義什麼,但你的在場感受,就是一條線索,關於如何找著自己的路徑、自己的聲音。
Thumbnail
這是一場修復文化與重建精神的儀式,觀眾不需要完全看懂《遊林驚夢:巧遇Hagay》,但你能感受心與土地團聚的渴望,也不急著在此處釐清或定義什麼,但你的在場感受,就是一條線索,關於如何找著自己的路徑、自己的聲音。
Thumbnail
聲調幫助我們創造更多的語言詞彙,那你知道聲調還可以創造出什麼有趣的現象嗎?華語有四聲、臺語有八聲七調、粵語也有九聲六調,這麼多的聲調到底有什麼用意呢?
Thumbnail
聲調幫助我們創造更多的語言詞彙,那你知道聲調還可以創造出什麼有趣的現象嗎?華語有四聲、臺語有八聲七調、粵語也有九聲六調,這麼多的聲調到底有什麼用意呢?
Thumbnail
RPAI 數位優化器在本文介紹 Power Automate Desktop 中的運算式,包括算術運算符、比較運算符、邏輯運算符和文字運算符。此外,還提供了基本算術、比較運算、邏輯運算和文字運算的範例,以及與其他程式語言的差異。
Thumbnail
RPAI 數位優化器在本文介紹 Power Automate Desktop 中的運算式,包括算術運算符、比較運算符、邏輯運算符和文字運算符。此外,還提供了基本算術、比較運算、邏輯運算和文字運算的範例,以及與其他程式語言的差異。
Thumbnail
《轉轉生》(Re:INCARNATION)為奈及利亞編舞家庫德斯.奧尼奎庫與 Q 舞團創作的當代舞蹈作品,結合拉各斯街頭節奏、Afrobeat/Afrobeats、以及約魯巴宇宙觀的非線性時間,建構出關於輪迴的「誕生—死亡—重生」儀式結構。本文將從約魯巴哲學概念出發,解析其去殖民的身體政治。
Thumbnail
《轉轉生》(Re:INCARNATION)為奈及利亞編舞家庫德斯.奧尼奎庫與 Q 舞團創作的當代舞蹈作品,結合拉各斯街頭節奏、Afrobeat/Afrobeats、以及約魯巴宇宙觀的非線性時間,建構出關於輪迴的「誕生—死亡—重生」儀式結構。本文將從約魯巴哲學概念出發,解析其去殖民的身體政治。
Thumbnail
背景:從冷門配角到市場主線,算力與電力被重新定價   小P從2008進入股市,每一個時期的投資亮點都不同,記得2009蘋果手機剛上市,當時蘋果只要在媒體上提到哪一間供應鏈,隔天股價就有驚人的表現,當時光學鏡頭非常熱門,因為手機第一次搭上鏡頭可以拍照,也造就傳統相機廠的殞落,如今手機已經全面普及,題
Thumbnail
背景:從冷門配角到市場主線,算力與電力被重新定價   小P從2008進入股市,每一個時期的投資亮點都不同,記得2009蘋果手機剛上市,當時蘋果只要在媒體上提到哪一間供應鏈,隔天股價就有驚人的表現,當時光學鏡頭非常熱門,因為手機第一次搭上鏡頭可以拍照,也造就傳統相機廠的殞落,如今手機已經全面普及,題
Thumbnail
基本的加減乘除
Thumbnail
基本的加減乘除
Thumbnail
高中數學主題練習—配方法
Thumbnail
高中數學主題練習—配方法
Thumbnail
高中數學主題練習—P計算
Thumbnail
高中數學主題練習—P計算
追蹤感興趣的內容從 Google News 追蹤更多 vocus 的最新精選內容追蹤 Google News