一、田口品質工程-步驟 I 主題選定、現況掌握及目標設定
研究/找到將『肥皂泡』①吹到最大和 ②維持時間最久才破裂(不容易受到環境干擾)
二、田口品質工程-步驟 II品質特性(儘量選中上游品質)與量測方法(略)
使用攝影-拍照-搭配鋼尺、碼表進行直徑量測及維持時間(完成到破裂瞬間)

三、田口品質工程-步驟 III 參數分析(探究影響肥皂泡大小的因素)以及可能的Noise(噪音因素) 對肥皂泡的大小與維持到破裂時間的干擾 (Noise:環境風速和肥皂水使用一段時間受到汙染等干擾因素變化時,最佳的肥皂泡配置方案)

混合系的L18直交表

四、田口品質工程-步驟 IV 直交表選定/參數與Noise配置/進行實驗設計(規劃)
4.1 如果只考慮3.1肥皂水溶液類型(3水準) 3.2溶液溫度(3水準) 3.3溶質類型(3水準) 3.4吹泡工具(吸管Φ) (3水準) 則可以選定3n系直交表 :L9(34) ; 也可以選用混和式直交表L18(21*37)。
但是如果又增加了因子3.5溶質+肥皂水濃度比率(2水準), 則必須使用L18(21*37)
(控制參數)進行實驗設計(規劃)與Noise配置
我們采用了田口方法(Taguchi)進行L18(2^1*3^7)實驗設計。

五.田口品質工程-步驟 V 執行實驗與資料收集(略)
(進行步驟 IV實驗規劃中的參數組合進行吹出泡沫,並量測出所有yi)
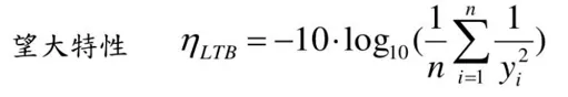
六.田口品質工程-步驟 VI 進行SN比分析(略)
y1:將『肥皂泡』吹到最大 y2: 維持時間最久

七.田口品質工程-步驟 VII 最適條件組合與推定(略)
八.田口品質工程-步驟 VIII 確認實驗(略)























