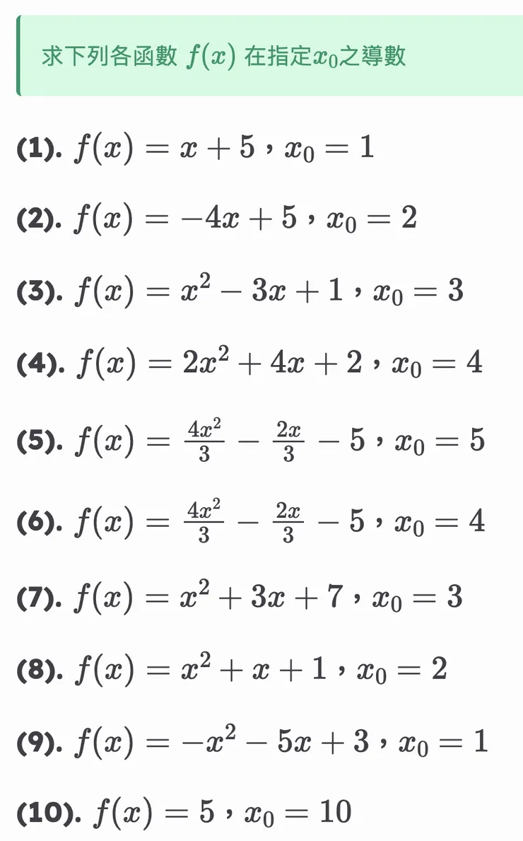
多項式函數微分求導數(一)

更新 發佈閱讀 1 分鐘
vocus|新世代的創作平台



解答:

vocus|新世代的創作平台



留言
avatar-img
WilliamP的沙龍
16會員
621內容數
歡迎來到 WilliamP 的沙龍天地,在這裡將與各位讀者探討各種主題,包刮高中數學題庫、PHP開發經驗、LINE聊天機器人開發經驗、書摘筆記等,歡迎交流!
WilliamP的沙龍的其他內容
2025/11/07
高中數學主題練習—函數可微判定
Thumbnail
2025/11/07
高中數學主題練習—函數可微判定
Thumbnail
2025/11/07
高中數學主題練習—函數可微判定
Thumbnail
2025/11/07
高中數學主題練習—函數可微判定
Thumbnail
2025/11/07
高中數學主題練習—函數連續判定
Thumbnail
2025/11/07
高中數學主題練習—函數連續判定
Thumbnail
看更多
你可能也想看
Thumbnail
大家常常說,比特幣每四年會減半、總量有 2100 萬個,但是礦工每天都在挖,那比特幣減半的時間和它的總量是怎麼算出來的呢? 其實,只要利用高中的數學就可以算出來囉!我們一起來看看吧!
Thumbnail
大家常常說,比特幣每四年會減半、總量有 2100 萬個,但是礦工每天都在挖,那比特幣減半的時間和它的總量是怎麼算出來的呢? 其實,只要利用高中的數學就可以算出來囉!我們一起來看看吧!
Thumbnail
文/李家同 我一直感覺到現在很多高中的數學考題奇難無比,因此我設法打聽了一所學校某一次考試的數學平均分數。果真這份數學考卷的全校平均不到25分,真使我感慨萬分。 試想,一個學生拿到一份考卷,可能只有十幾分,他會對自己仍有信心嗎?
Thumbnail
文/李家同 我一直感覺到現在很多高中的數學考題奇難無比,因此我設法打聽了一所學校某一次考試的數學平均分數。果真這份數學考卷的全校平均不到25分,真使我感慨萬分。 試想,一個學生拿到一份考卷,可能只有十幾分,他會對自己仍有信心嗎?
Thumbnail
本文深度解析賽勒布倫尼科夫的舞臺作品《傳奇:帕拉贊諾夫的十段殘篇》,如何以十段殘篇,結合帕拉贊諾夫的電影美學、象徵意象與當代政治流亡抗爭,探討藝術在儀式消失的現代社會如何承接意義,並展現不羈的自由靈魂。
Thumbnail
本文深度解析賽勒布倫尼科夫的舞臺作品《傳奇:帕拉贊諾夫的十段殘篇》,如何以十段殘篇,結合帕拉贊諾夫的電影美學、象徵意象與當代政治流亡抗爭,探討藝術在儀式消失的現代社會如何承接意義,並展現不羈的自由靈魂。
Thumbnail
長期以來,西方美學以《維特魯威人》式的幾何比例定義「完美身體」,這種視覺標準無形中成為殖民擴張與種族分類的暴力工具。本文透過分析奈及利亞編舞家庫德斯.奧尼奎庫的舞作《轉轉生》,探討當代非洲舞蹈如何跳脫「標本式」的文化觀看。
Thumbnail
長期以來,西方美學以《維特魯威人》式的幾何比例定義「完美身體」,這種視覺標準無形中成為殖民擴張與種族分類的暴力工具。本文透過分析奈及利亞編舞家庫德斯.奧尼奎庫的舞作《轉轉生》,探討當代非洲舞蹈如何跳脫「標本式」的文化觀看。
Thumbnail
全新版本的《三便士歌劇》如何不落入「復刻經典」的巢臼,反而利用華麗的秀場視覺,引導觀眾在晚期資本主義的消費愉悅之中,而能驚覺「批判」本身亦可能被收編——而當絞繩升起,這場關於如何生存的黑色遊戲,又將帶領新時代的我們走向何種後現代的自我解構?
Thumbnail
全新版本的《三便士歌劇》如何不落入「復刻經典」的巢臼,反而利用華麗的秀場視覺,引導觀眾在晚期資本主義的消費愉悅之中,而能驚覺「批判」本身亦可能被收編——而當絞繩升起,這場關於如何生存的黑色遊戲,又將帶領新時代的我們走向何種後現代的自我解構?
Thumbnail
學校老師教太慢,或是教霧沙沙,可以透過網路力量解決。 學習順序 1.買一本網路推薦的參考書,翻閱其目錄,先大略看一下內容 2.將不熟的單元、困難的單元註記起來,在網路上找大量教學影片看 3.做題目,一開始生疏,多看詳解,慢慢來 4.真的不懂的細節在到網路上找資教學資源補強 youtube學習頻道推薦
Thumbnail
學校老師教太慢,或是教霧沙沙,可以透過網路力量解決。 學習順序 1.買一本網路推薦的參考書,翻閱其目錄,先大略看一下內容 2.將不熟的單元、困難的單元註記起來,在網路上找大量教學影片看 3.做題目,一開始生疏,多看詳解,慢慢來 4.真的不懂的細節在到網路上找資教學資源補強 youtube學習頻道推薦
Thumbnail
歡迎來到Kangaroo的blog! 今天要來分享高中數學的學習資源吧! 那我們繼續看下去吧!
Thumbnail
歡迎來到Kangaroo的blog! 今天要來分享高中數學的學習資源吧! 那我們繼續看下去吧!
Thumbnail
這幾天剛好看到 V 神介紹有關平方支付的文章,他基於平方投票法的概念,提出了平方募資法的概念,冬冬發現有平方募資法有些部分可以用高中數學就可以解釋了,因此想針對這個內容進行一些探討。前面會簡單的介紹各種概念,比較沒有數學的內容,相關的數學證明會放在最後,有興趣的朋友可以看看哦!
Thumbnail
這幾天剛好看到 V 神介紹有關平方支付的文章,他基於平方投票法的概念,提出了平方募資法的概念,冬冬發現有平方募資法有些部分可以用高中數學就可以解釋了,因此想針對這個內容進行一些探討。前面會簡單的介紹各種概念,比較沒有數學的內容,相關的數學證明會放在最後,有興趣的朋友可以看看哦!
Thumbnail
若說易卜生的《玩偶之家》為 19 世紀的女性,開啟了一扇離家的窄門,那麼《海妲.蓋柏樂》展現的便是門後的窒息世界。本篇文章由劇場演員 Amily 執筆,同為熟稔文本的演員,亦是深刻體察制度縫隙的當代女性,此文所看見的不僅僅是崩壞前夕的最後發聲,更是女人被迫置於冷酷的制度之下,步步陷入無以言說的困境。
Thumbnail
若說易卜生的《玩偶之家》為 19 世紀的女性,開啟了一扇離家的窄門,那麼《海妲.蓋柏樂》展現的便是門後的窒息世界。本篇文章由劇場演員 Amily 執筆,同為熟稔文本的演員,亦是深刻體察制度縫隙的當代女性,此文所看見的不僅僅是崩壞前夕的最後發聲,更是女人被迫置於冷酷的制度之下,步步陷入無以言說的困境。
追蹤感興趣的內容從 Google News 追蹤更多 vocus 的最新精選內容追蹤 Google News