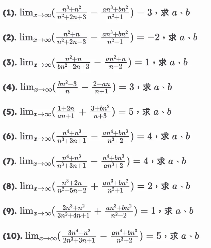
已知極限求ab(一)

更新 發佈閱讀 1 分鐘
vocus|新世代的創作平台



解答:

vocus|新世代的創作平台




留言
avatar-img
WilliamP的沙龍
16會員
621內容數
歡迎來到 WilliamP 的沙龍天地,在這裡將與各位讀者探討各種主題,包刮高中數學題庫、PHP開發經驗、LINE聊天機器人開發經驗、書摘筆記等,歡迎交流!
WilliamP的沙龍的其他內容
2025/11/08
高中數學主題練習—無窮等比數列極限值
Thumbnail
2025/11/08
高中數學主題練習—無窮等比數列極限值
Thumbnail
2025/11/08
高中數學主題練習—無窮等比級數極限值
Thumbnail
2025/11/08
高中數學主題練習—無窮等比級數極限值
Thumbnail
2025/11/08
高中數學主題練習—數列極限值
Thumbnail
2025/11/08
高中數學主題練習—數列極限值
Thumbnail
看更多
你可能也想看
Thumbnail
在現今教育環境中,越來越多家長希望孩子能夠 自主學習,但同時又擔心缺乏同儕互動與團體合作的機會。位於 台南市安南區 的 上華蒙特梭利國高中部,正是這樣一個 結合自學與團體學習 的理想環境! 我們提供 每日英文外師教學,培養學生的語言能力與國際視野,搭配 專業數學教學,幫助學生在國高中階段打好學術基
Thumbnail
在現今教育環境中,越來越多家長希望孩子能夠 自主學習,但同時又擔心缺乏同儕互動與團體合作的機會。位於 台南市安南區 的 上華蒙特梭利國高中部,正是這樣一個 結合自學與團體學習 的理想環境! 我們提供 每日英文外師教學,培養學生的語言能力與國際視野,搭配 專業數學教學,幫助學生在國高中階段打好學術基
Thumbnail
本文深度解析賽勒布倫尼科夫的舞臺作品《傳奇:帕拉贊諾夫的十段殘篇》,如何以十段殘篇,結合帕拉贊諾夫的電影美學、象徵意象與當代政治流亡抗爭,探討藝術在儀式消失的現代社會如何承接意義,並展現不羈的自由靈魂。
Thumbnail
本文深度解析賽勒布倫尼科夫的舞臺作品《傳奇:帕拉贊諾夫的十段殘篇》,如何以十段殘篇,結合帕拉贊諾夫的電影美學、象徵意象與當代政治流亡抗爭,探討藝術在儀式消失的現代社會如何承接意義,並展現不羈的自由靈魂。
Thumbnail
本文說明高一升高二學生在數學學習上面臨的挑戰,教師如何透過整合餐旅課程來提升學生的學習動機。 如何將數學應用於實際的餐旅課程中,例如烘焙成本計算和材料比例,進而提升學生的學習參與度。 這樣的跨領域教學策略不僅促進了學生的數學能力,也加深了他們對餐旅業的瞭解。
Thumbnail
本文說明高一升高二學生在數學學習上面臨的挑戰,教師如何透過整合餐旅課程來提升學生的學習動機。 如何將數學應用於實際的餐旅課程中,例如烘焙成本計算和材料比例,進而提升學生的學習參與度。 這樣的跨領域教學策略不僅促進了學生的數學能力,也加深了他們對餐旅業的瞭解。
Thumbnail
113年度第三梯次就業服務專業人員乙級技術士技能檢定學、術科測試,如期於11月3日(星期日)舉行,本梯次考試學科單選60題(內含共同科目16題)、複選20題(全部專業科目);其中工作項目01職業介紹及人力仲介【單選題出28題;複選題10題】;工作項目02招募【單選題出8題;複選題5題】;工作項目03
Thumbnail
113年度第三梯次就業服務專業人員乙級技術士技能檢定學、術科測試,如期於11月3日(星期日)舉行,本梯次考試學科單選60題(內含共同科目16題)、複選20題(全部專業科目);其中工作項目01職業介紹及人力仲介【單選題出28題;複選題10題】;工作項目02招募【單選題出8題;複選題5題】;工作項目03
Thumbnail
長期以來,西方美學以《維特魯威人》式的幾何比例定義「完美身體」,這種視覺標準無形中成為殖民擴張與種族分類的暴力工具。本文透過分析奈及利亞編舞家庫德斯.奧尼奎庫的舞作《轉轉生》,探討當代非洲舞蹈如何跳脫「標本式」的文化觀看。
Thumbnail
長期以來,西方美學以《維特魯威人》式的幾何比例定義「完美身體」,這種視覺標準無形中成為殖民擴張與種族分類的暴力工具。本文透過分析奈及利亞編舞家庫德斯.奧尼奎庫的舞作《轉轉生》,探討當代非洲舞蹈如何跳脫「標本式」的文化觀看。
Thumbnail
全新版本的《三便士歌劇》如何不落入「復刻經典」的巢臼,反而利用華麗的秀場視覺,引導觀眾在晚期資本主義的消費愉悅之中,而能驚覺「批判」本身亦可能被收編——而當絞繩升起,這場關於如何生存的黑色遊戲,又將帶領新時代的我們走向何種後現代的自我解構?
Thumbnail
全新版本的《三便士歌劇》如何不落入「復刻經典」的巢臼,反而利用華麗的秀場視覺,引導觀眾在晚期資本主義的消費愉悅之中,而能驚覺「批判」本身亦可能被收編——而當絞繩升起,這場關於如何生存的黑色遊戲,又將帶領新時代的我們走向何種後現代的自我解構?
Thumbnail
若說易卜生的《玩偶之家》為 19 世紀的女性,開啟了一扇離家的窄門,那麼《海妲.蓋柏樂》展現的便是門後的窒息世界。本篇文章由劇場演員 Amily 執筆,同為熟稔文本的演員,亦是深刻體察制度縫隙的當代女性,此文所看見的不僅僅是崩壞前夕的最後發聲,更是女人被迫置於冷酷的制度之下,步步陷入無以言說的困境。
Thumbnail
若說易卜生的《玩偶之家》為 19 世紀的女性,開啟了一扇離家的窄門,那麼《海妲.蓋柏樂》展現的便是門後的窒息世界。本篇文章由劇場演員 Amily 執筆,同為熟稔文本的演員,亦是深刻體察制度縫隙的當代女性,此文所看見的不僅僅是崩壞前夕的最後發聲,更是女人被迫置於冷酷的制度之下,步步陷入無以言說的困境。
Thumbnail
✨【上華蒙特梭利國高中成果展現】✨ 上華蒙特梭利實驗國高中持續帶領孩子們在多元學習中成長,最近更是收穫豐碩,孩子們的表現令人驚艷!梧桐家學生在嘉義參加了「嘉義拍奇幻旅程-影片徵選活動 (Movie Slate)」,以優異的影音作品奪得金質獎 (Sparkle)!由嘉義縣環保局副局長楊啟明親自頒獎,
Thumbnail
✨【上華蒙特梭利國高中成果展現】✨ 上華蒙特梭利實驗國高中持續帶領孩子們在多元學習中成長,最近更是收穫豐碩,孩子們的表現令人驚艷!梧桐家學生在嘉義參加了「嘉義拍奇幻旅程-影片徵選活動 (Movie Slate)」,以優異的影音作品奪得金質獎 (Sparkle)!由嘉義縣環保局副局長楊啟明親自頒獎,
追蹤感興趣的內容從 Google News 追蹤更多 vocus 的最新精選內容追蹤 Google News