什麼是EER圖? ER圖 VS EER圖

更新 發佈閱讀 6 分鐘

EER圖(Enhanced Entity Relationship Diagram),即增強型實體關係圖,是一種用於視覺化資料庫設計的強大工具。它不僅繼承了傳統ER圖(實體關係圖)的精髓,還擴展了更多功能和細節,使資料庫設計更加直觀和靈活。以下將從概念、與ER圖的差異、符號、繪製教學、範例等方面對EER圖進行詳細講解。

Ⅰ. EER圖概念

EER圖是一種圖形化的資料庫設計工具,透過圖形符號和連接線來表示實體、屬性和它們之間的關係。實體代表資料庫中的表,屬性代表表中的字段,而關係則表示不同表之間的連接。 EER圖不僅用於展示資料庫的結構,還能幫助開發人員更好地規劃和管理資料庫,以滿足應用程式的需求。

vocus|新世代的創作平台

學校管理系統EER圖

Ⅱ.EER图应用场景

EER图在多种数据库设计和管理场景中发挥着重要作用。它常用于:

数据库设计:开发人员可以使用EER图来设计数据库结构,包括定义表、字段和它们之间的关系。

数据库优化:通过EER图,开发人员可以直观地看到数据库中的冗余和复杂性,从而进行优化。

数据库文档化:EER图可以作为数据库结构的文档,方便开发人员和数据库管理员理解和沟通。

数据库反向工程:EER图还可以用于生成数据库的SQL脚本,从而快速创建数据库。

Ⅲ.EER图与ER图的区别

ER图即实体关系图,EER图是ER图的扩展,两者在功能和细节上存在显著区别:

功能擴展:EER圖提供了更多的功能和細節,如子類別/超類別、多重關係、多值依賴等,使得資料庫設計更加靈活和擴展。

符號豐富:EER圖採用了更多的符號和概念,以便更好地描述現實世界中的資料模型。

應用情境廣泛:EER圖不僅用於資料庫設計,也用於資料庫最佳化、文件化和反向工程等場景。

如果您想了解更多ER圖內容,可以進入新手必讀:ER圖輕鬆繪製數據關係圖查看。

Ⅳ. EER圖的符號

1. 實體(Entity)

表示方法:用矩形框表示。

定義:實體是現實世界中一個獨立、具體的事物或對象,在資料庫中通常對應一個表格。

作用:實體是資料庫設計的基本單位,用來描述現實世界中的物件。

vocus|新世代的創作平台

2. 屬性(Attribute)

表示方法:以橢圓形框表示,並用無向線將其與對應的實體連接起來。

定義:屬性是實體的特徵或描述,用來描述實體的特定特徵或面向。

作用:屬性在資料庫中通常對應表中的字段,用於儲存實體的具體資訊。

vocus|新世代的創作平台

3. 關係(Relationship)

表示方法:以菱形框表示,並用無向線分別與相關實體連結。

定義:關係表示實體之間的聯繫和依賴關係。

類型:

一對一(1:1):一個實體與另一個實體之間存在唯一的對應關係。

一對多(1:n):一個實體與多個實體之間存在關聯。

多對多(m:n):多個實體之間可以相互關聯。

作用:關係在資料庫中通常透過外鍵來實現,用於連接不同的表。

vocus|新世代的創作平台

4. 特殊元素

子類別/超類別(Subclass/Superclass):

定義:子類別是從超類別繼承屬性和關係的實體類型。

表示方法:在EER圖中,子類別通常位於超類別的下方,並用一條線將它們連接起來,表示繼承關係。

多重關係(Multivalued Relationship):

定義:一個實體可以與另一個實體之間存在多個關係實例。這些實體是多個實體的子類,並且具有多個超類。在多重繼承中,子類別的屬性是所有超類別屬性的並集。

表示方法:在EER圖中,多重關係通常透過在關係菱形框內添加特殊符號或註釋來表示。

5. 其他元素

連接線:用於連接實體、屬性和關係,表示它們之間的關聯。

註釋和說明:用於對實體、屬性和關係進行進一步的解釋和說明,以便更好地理解資料庫設計。

Ⅴ. ER圖和EER圖範例

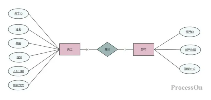
假設我們有一個簡單的ER圖,其中包含兩個實體:員工(Employee)和部門(Department)。員工實體有員工ID、姓名、年齡、入職日期和聯絡方式的屬性,部門實體有部門名稱、部門ID和聯絡資訊的屬性。員工和部門之間存在著「屬於」關係,表示員工屬於某個部門。可以梳理出如下關係:

vocus|新世代的創作平台

如果將其擴展為EER圖,我們可以引入超類型和子類型的概念。例如,我們可以將員工實體進一步細分為全職員工和兼職員工兩個子類型。此時,全職員工和兼職員工將作為員工實體的子類型。

vocus|新世代的創作平台

Ⅵ.如何建立EER圖?

1. 開啟ProcessOn官網,進入個人檔案頁,點選新建建立流程圖。

2. 點選左側圖形庫內的更多圖形,找到ER圖,點選確定。

vocus|新世代的創作平台

3. 拖曳流程圖製作器左側圖形庫中的ER圖符號到畫布,雙擊圖形新增文本,點擊圖形上的「+」即可建立連線連接不同的ER符號。

vocus|新世代的創作平台

4. 選取連線,頂部工具列可以修改連線類型。

vocus|新世代的創作平台

Ⅶ. EER圖模板

ProcessOn社群內包含豐富的EER圖範本可供參考,同時支援複製使用,提高繪圖效率。以下是部分模板分享。

vocus|新世代的創作平台

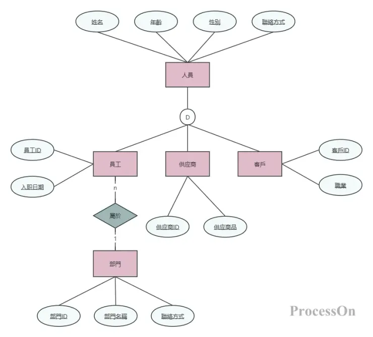
企業人員管理系統EER圖

vocus|新世代的創作平台

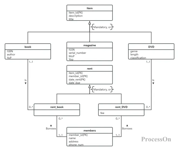
圖書館借閱系統EER圖

vocus|新世代的創作平台

大學院繫管理系統EER圖

總之,EER圖是一種功能強大的資料庫設計工具,它不僅繼承了傳統ER圖的優點,還擴展了更多功能和細節。透過使用EER圖,開發人員可以更好地規劃和管理資料庫結構,提高開發效率。無論是在資料庫設計、最佳化、文件化等場景中,EER圖都扮演著重要角色。希望本文能為您在實際工作中應用EER圖提供有益的參考與指引。

留言
avatar-img
ProcessOn的沙龍
12會員
215內容數
分享心智圖與流程圖使用技巧
ProcessOn的沙龍的其他內容
2025/11/13
在當今競爭激烈的商業環境中,人力資源管理的模式正經歷著深刻的變革,其中三支柱轉型成為許多企業關注的焦點。
Thumbnail
2025/11/13
在當今競爭激烈的商業環境中,人力資源管理的模式正經歷著深刻的變革,其中三支柱轉型成為許多企業關注的焦點。
Thumbnail
2025/11/11
《哈利·波特》系列是英國作家J.K.羅琳創作的一部奇幻文學系列,故事主要圍繞着一個年輕巫師哈利·波特的成長經歷展開。從他在霍格沃茨魔法學校學習魔法的早期歲月,到與邪惡黑魔法師伏地魔之間的宿命對決,整個系列充滿了魔法、冒險和友情的元素。
Thumbnail
2025/11/11
《哈利·波特》系列是英國作家J.K.羅琳創作的一部奇幻文學系列,故事主要圍繞着一個年輕巫師哈利·波特的成長經歷展開。從他在霍格沃茨魔法學校學習魔法的早期歲月,到與邪惡黑魔法師伏地魔之間的宿命對決,整個系列充滿了魔法、冒險和友情的元素。
Thumbnail
2025/11/07
《指環王》改編自自英國作家約翰·羅納德·瑞爾·托爾金的《The Lord of the Rings》(中文譯名為《魔戒》或《指環王》)小說,而這部小說被公認為近代奇幻文化的始祖,現在流行文化中看到但凡是關於西方魔幻的故事,或多或少都會有《魔戒》的影子。
Thumbnail
2025/11/07
《指環王》改編自自英國作家約翰·羅納德·瑞爾·托爾金的《The Lord of the Rings》(中文譯名為《魔戒》或《指環王》)小說,而這部小說被公認為近代奇幻文化的始祖,現在流行文化中看到但凡是關於西方魔幻的故事,或多或少都會有《魔戒》的影子。
Thumbnail
看更多
你可能也想看
Thumbnail
Standing Out from the Crowd: Application Process Secrets for OpenAI Positions (BBM MARKETING Book 7) Kindle Edition 作者 Po Jih Wang (Author)  格式: Kind
Thumbnail
Standing Out from the Crowd: Application Process Secrets for OpenAI Positions (BBM MARKETING Book 7) Kindle Edition 作者 Po Jih Wang (Author)  格式: Kind
Thumbnail
PROCESS macro for SPSS 可以用非常簡單方式進中介模式。本文將介紹三種類型的變項,還有如何操作最4.0版本的PROCESS macro for SPSS。文末也會附上所有所有Process模型圖例,提供給讀者方便分析~
Thumbnail
PROCESS macro for SPSS 可以用非常簡單方式進中介模式。本文將介紹三種類型的變項,還有如何操作最4.0版本的PROCESS macro for SPSS。文末也會附上所有所有Process模型圖例,提供給讀者方便分析~
Thumbnail
PROCESS macro for SPSS 可以用非常簡單方式使用調節分析。本文將介紹三種類型的變項,還有如何操作最4.2版本的PROCESS macro for SPSS進行調節模式。文末也會附上所有所有Process模型圖例,提供給讀者方便分析~
Thumbnail
PROCESS macro for SPSS 可以用非常簡單方式使用調節分析。本文將介紹三種類型的變項,還有如何操作最4.2版本的PROCESS macro for SPSS進行調節模式。文末也會附上所有所有Process模型圖例,提供給讀者方便分析~
Thumbnail
背景:從冷門配角到市場主線,算力與電力被重新定價   小P從2008進入股市,每一個時期的投資亮點都不同,記得2009蘋果手機剛上市,當時蘋果只要在媒體上提到哪一間供應鏈,隔天股價就有驚人的表現,當時光學鏡頭非常熱門,因為手機第一次搭上鏡頭可以拍照,也造就傳統相機廠的殞落,如今手機已經全面普及,題
Thumbnail
背景:從冷門配角到市場主線,算力與電力被重新定價   小P從2008進入股市,每一個時期的投資亮點都不同,記得2009蘋果手機剛上市,當時蘋果只要在媒體上提到哪一間供應鏈,隔天股價就有驚人的表現,當時光學鏡頭非常熱門,因為手機第一次搭上鏡頭可以拍照,也造就傳統相機廠的殞落,如今手機已經全面普及,題
Thumbnail
5 月將於臺北表演藝術中心映演的「2026 北藝嚴選」《海妲・蓋柏樂》,由臺灣劇團「晃晃跨幅町」製作,本文將以從舞台符號、聲音與表演調度切入,討論海妲・蓋柏樂在父權社會結構下的困境,並結合榮格心理學與馮.法蘭茲對「阿尼姆斯」與「永恆少年」原型的分析,理解女人何以走向精神性的操控、毀滅與死亡。
Thumbnail
5 月將於臺北表演藝術中心映演的「2026 北藝嚴選」《海妲・蓋柏樂》,由臺灣劇團「晃晃跨幅町」製作,本文將以從舞台符號、聲音與表演調度切入,討論海妲・蓋柏樂在父權社會結構下的困境,並結合榮格心理學與馮.法蘭茲對「阿尼姆斯」與「永恆少年」原型的分析,理解女人何以走向精神性的操控、毀滅與死亡。
Thumbnail
這是一場修復文化與重建精神的儀式,觀眾不需要完全看懂《遊林驚夢:巧遇Hagay》,但你能感受心與土地團聚的渴望,也不急著在此處釐清或定義什麼,但你的在場感受,就是一條線索,關於如何找著自己的路徑、自己的聲音。
Thumbnail
這是一場修復文化與重建精神的儀式,觀眾不需要完全看懂《遊林驚夢:巧遇Hagay》,但你能感受心與土地團聚的渴望,也不急著在此處釐清或定義什麼,但你的在場感受,就是一條線索,關於如何找著自己的路徑、自己的聲音。
Thumbnail
本文分析導演巴里・柯斯基(Barrie Kosky)如何運用極簡的舞臺配置,將布萊希特(Bertolt Brecht)的「疏離效果」轉化為視覺奇觀與黑色幽默,探討《三便士歌劇》在當代劇場中的新詮釋,並藉由舞臺、燈光、服裝、音樂等多方面,分析該作如何在保留批判核心的同時,觸及觀眾的觀看位置與人性幽微。
Thumbnail
本文分析導演巴里・柯斯基(Barrie Kosky)如何運用極簡的舞臺配置,將布萊希特(Bertolt Brecht)的「疏離效果」轉化為視覺奇觀與黑色幽默,探討《三便士歌劇》在當代劇場中的新詮釋,並藉由舞臺、燈光、服裝、音樂等多方面,分析該作如何在保留批判核心的同時,觸及觀眾的觀看位置與人性幽微。
Thumbnail
PROCESS macro for SPSS 可以用非常簡單方式學會調節中介模式。本文將介紹四種類型的變項,並解釋調節式中介的公式,還有如何操作最4.0版本的PROCESS macro for SPSS。文末也會附上所有所有Process模型圖例,提供給讀者方便分析~
Thumbnail
PROCESS macro for SPSS 可以用非常簡單方式學會調節中介模式。本文將介紹四種類型的變項,並解釋調節式中介的公式,還有如何操作最4.0版本的PROCESS macro for SPSS。文末也會附上所有所有Process模型圖例,提供給讀者方便分析~
追蹤感興趣的內容從 Google News 追蹤更多 vocus 的最新精選內容追蹤 Google News