本文改來討論一則求最大值的問題。題目如下:

滿足方程式x2 + 2xy + 2y2 =4 (下文以代號ㄅ表示)的解(x,y)有很多,例如(0,√2)、(2,0)、 (-1-√3,√3)、(-2,2)、(-1+√3,1)等等,每對x與y的乘積,可能得到不同的值,前述5組解便分別得到0、0、-3-√3、-4、-1+√3等。本題的意思就是在所有可能的方程式解之中,找出乘積最大的值。
那麼,本題的答案就是上述5個乘積最大的那個 -1+√3嗎?非也,因為方程式解還有很多很多,怎知別的解乘起來不會更大?這麼說,就把每個解拿來乘乘看囉。且慢,如果方程式的解有限個,譬如十幾個,甚至三五十個,靠人力也許還行,就算大量到幾百萬個,幾千億個,用現代的計算機也解決得了。但本題方程式ㄅ卻有無限多組解,即使算過幾千億個,沒算到的仍有無窮無盡。所以,我們要藉助有關不等式的定理與性質來保證,不可靠蠻力。

解法一:
依據的是「實數平方≧0」,這已在國中數學學習到,二次函數求最大、最小值就是基於這個性質發展的。以下處理過程,有許多步驟只是國中的數學,雖然式子較繁瑣。

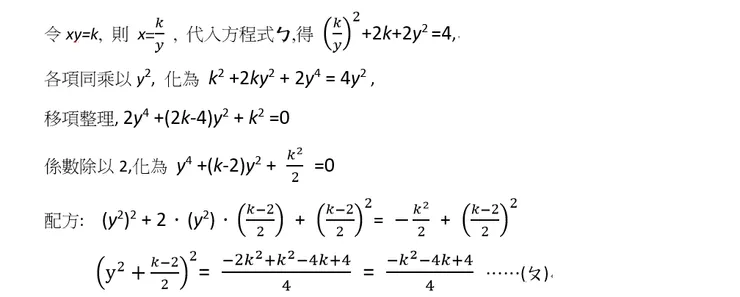
∵ y與k都是實數,所以ㄆ的左式便是一個實數的平方,非負;右式既然等於左式,故亦非負,
∴分子 -k2 - 4k + 4≧0
乘以 -1使平方項係數為正, 得
k2+4k-4≦0 (注意:乘負數,不等號轉向)
k2+4k+4≦4+4
(k+2)2≦8
-√8≦ k+2 ≦√8
∴ -2-2√2≦ k ≦ -2+2√2
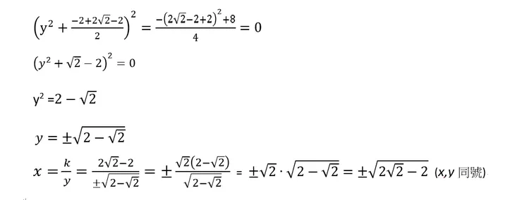
頗多學生就把最大值的答案填上 -2+2√2, 本題是,很多題也是,但到此就結案是有風險的。我們應確認存在方程式ㄅ的解確實能使k= -2+2√2。以下是確認過程:
將k= -2+2√2代入ㄆ式,

的確是方程式ㄅ的解。

解法二:
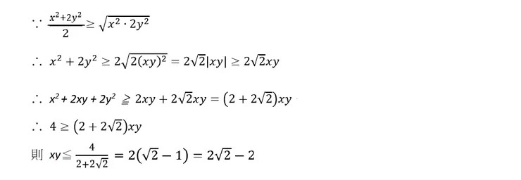
利用算幾不等式:

(左式為算術平均數,右式為幾何平均數),
等號成立的充要條件為 a=b

同樣,不少學生得到這個結果就停工,卻忘了假如等號不能發生,那麼2√2 – 2就不是最大值。
我們須確認等號能發生,其充要條件是 x2 = 2y2 且x與y同號,
則x=√2 y, 代入方程式ㄅ,仍可得出解法一的解,故2√2 – 2的確是最大值。

解法三:
以下分享油挑伯的絕招,用的是三角函數,讀友看過後如果感到驚艷,不要讚嘆我,鄙人不敢掠美。不過,欲全程讀懂,須對三角函數有較深厚的修為,本文把步驟寫詳細一些,希望對大家有所幫助。
方程式ㄅ可以配方成 (x+y)2 + y2 = 4 = 22,
接下來進行參數化,
令 y =2sinθ, x+y =2cosθ, 其中θ為任意實數。
移項後, x =2cosθ- 2sinθ=2(cosθ- sinθ), 則
xy = 2(cosθ- sinθ).2sinθ
= 2(2cosθsinθ- 2sin2θ)
=2( sin2θ+2cos2θ- 2 ) (sin二倍角公式)
=2( sin2θ+ cos2θ-1 ) (cos二倍角公式)
= 2sin2θ + 2cos2θ - 2

= 2√2(cos45゜sin2θ + sin45゜cos2θ) – 2 (套用和角公式)
=2√2sin( 2θ+45゜) – 2
∵ -1≦sin( 2θ+45゜)≦1,
當sin( 2θ+45゜)=1時, xy得最大值2√2 – 2

附言:
1.解法三若欲求發生最大值的解,可令2θ+45゜=90゜, 即θ=22.5゜,代入前面參數式。
2.學過微積分的人都知道,微分是求極值的強大工具,本題也可以用微分處理,但高中的微積分課程粗淺,也並非每個學生都學,因此本文未予討論。若讀友精熟微積分,不妨小試身手一番。
![[陳傳義]拍攝](https://img.vocus.cc/ROL3UUJiSEOMox5h4TDnzo7JpAhbdsROUfL4hVvih9w/w:740/f:webp/plain/https://images.vocus.cc/ecb8270e-afc6-4f08-b8c3-ccba360a1e2d.jpg)
[陳傳義]拍攝


















