本文可算前三篇的餘緒,也是從YT上取材的幾何題,分別用國中方法和高中的三角函數解題,不過,本題的目標在求角度。
題目:
圖一
如圖一,已知∠BCA=15°, ∠BAC=30°,
D是AC邊的中點, 求∠BDA=?
醞釀:該從何下手?如果感覺茫然,就睜大眼睛看圖吧,看不出所以然,改瞇瞇眼也行。瞄著瞄著,有沒有發現△BCD與△ACB長得有點像?但「像」不能解決數學問題,「相似」才可以;不過「相似」可不靠眼睛看,是需要證明的。所以,我們的目標便是設法證實這兩三角形相似。
解法一(古典幾何法)
別忘記古典幾何慣用的辦法--作輔助線,本題麻煩一點,要作兩條。另外前面幾篇多次應用過的特殊三角形基本知識,也該記住。(如圖二)

圖二
自B向AC邊作垂直線,設其交點為E; 自A向CB的延長線作垂直線,相交於F。
令BA長為2x,
∵直角△EBA中∠BAE=30°,
∴BE長:AB長 = 1:2,
∴BE長= x 。
而∠FBA是△ABC的一個外角, ∴∠FBA=∠BAC+∠BCA= 30° + 15° = 45°,
∴△FBA 是等腰直角, AF長:AB長 = 1:√2,

觀察兩個直角三角形△EBC與△FAC,有共同內角∠C,
依AA相似定理, △EBC~△FAC,

又已知D是AC邊的中點,

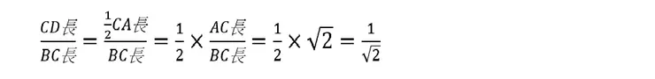
而∠C是△BCD與△ACB的共角, 其夾邊對應比例相等,
依SAS相似性質, ∴△BCD~△ACB,
∴∠DBC=∠BAC=30° (對應角相等)
再次引用外角性質, 所求∠BDA=∠C+∠DBC= 15°+30° = 45°
解法二: 另外的解法使用三角函數,不必作輔助線,故請參考圖一。
∵D是AC邊的中點, ∴CD長=AD長,令其長為a, 則AC長=2a,
又∠CBA=180° -∠C -∠BAC = 180° - 15° - 30° = 135°
根據正弦定理(在《舊業重溫13》解法三曾使用過),在△BCA中,

觀察△BCD與△ACB, ∠C是共角,而其夾邊的比例

同樣依SAS相似性質, △BCD~△ACB, 那麼後續就如同解法一的結果了。

















