**Bell 測量(Bell Measurement / Bell State Measurement, BSM)**是量子資訊裡一個非常核心、但常被誤解的概念。
我會用 直覺 → 數學 → 實際怎麼做 → 為什麼重要 四層來說。一、先一句話抓重點
👉 Bell 測量不是測單一粒子,而是「同時測兩個粒子,判斷它們屬於哪一種糾纏狀態」。
測量結果不是「↑或↓」,
而是:
你們兩個是「哪一種配對關係」。
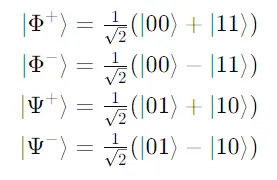
二、四種 Bell 態(一定要認識)
兩個 qubit 的最大糾纏態一共有 4 種,稱為 Bell states:

白話翻譯:

👉 Bell 測量就是判斷「你是哪一種」。
三、直覺版比喻
想像兩枚神秘硬幣:
- 不看單顆沒意義
- 只能問:「它們是一起正、一起反?還是一正一反?」
Bell 測量問的是:
「你們兩個的關係是什麼?」
而不是:
「你是正面還反面?」
四、Bell 測量怎麼做?(實際電路)
在量子電腦或實驗室,Bell 測量 ≈ 兩步:
Step 1️⃣:CNOT 門
qubit A ──■──
│
qubit B ──⊕──
👉 把「糾纏關係」轉成可讀資訊
Step 2️⃣:Hadamard 門 + 標準測量
qubit A ──H──測量
qubit B ─────測量
最後得到 2 個經典 bit:

👉 這就是「Bell 測量=2 bit 資訊」
五、Bell 測量在真實世界怎麼做?
光子實驗(光學)
- 偏振光子
- 分束器(Beam Splitter)
- 干涉
- 偵測 coincidence(同時到達)
⚠️ 限制:
用線性光學,不能 100% 區分四種 Bell 態
通常只能分辨 2 種(例如 Ψ⁺、Ψ⁻)
這是實驗工程上的難點。
六、為什麼 Bell 測量這麼重要?
① 量子傳態(Teleportation)
核心步驟就是:
Alice 對「未知態 + 糾纏粒子」做 Bell 測量
- 測量結果 = 2 bits
- 傳給 Bob
- Bob 根據結果修正狀態
沒有 Bell 測量 → 量子傳態不可能
② 糾纏交換(Entanglement Swapping)
A–B 糾纏
C–D 糾纏
對 B 和 C 做 Bell 測量 →
👉 A 和 D 瞬間變成糾纏
量子中繼器、量子網路核心技術。
③ 驗證量子通訊安全
在 E91 協定中:
- Bell 態違反貝爾不等式
- 可驗證「無人竊聽」
七、常見誤解澄清
❌ Bell 測量 = 測糾纏強度
✅ 是分類糾纏型態
❌ 測量後糾纏還在
✅ 測量後糾纏必然被破壞
❌ 可以超光速傳訊
✅ 測量結果是隨機的,需經典通訊配合
八、一句話總結
Bell 測量 = 把「兩個量子之間的關係」轉成可讀的 2 個經典 bit。
它是:
- 量子傳態的引擎
- 量子網路的節點
- 糾纏操作的核心工具


