今天在台灣etf是越來越受歡迎的投資工具,但是對一部分的股市老手來說,投資就是all in少部分賺錢的股票,集中投資財富才能快速增長,為什麼要讓我的投資組合中包含許多不賺錢的股票?所以投資台股就是全押台積電,投資美股就是全押七巨頭,今天我想從一份vanguard報告,談談集中投資對我們長期財富的挑戰
Vanguard在2019年How to increase the odds of owning the few stocks that drive returns的研究中模擬長時間少數持股的績效,研究從1987年到2017年30年的時間裡,投資人不同持股數與基準指數的報酬差距,實驗步驟是這樣
以羅素3000的3000支成分股作為30年實驗的選股池,為什麼選羅素3000,因為該指數涵蓋美國市值最大的約 3,000 家上市公司,約占美國可投資股票市場總市值的98%可以充分代表美國股市
每個季度開始時,隨機挑選股票,持股數從1支5支10支逐步上升到500支
選好股票後以等權重的方式建立投資組合,這是為了避免市值大小對報酬產生的影響,例如近期美股大型股表現較佳,而以長期的歷史來看小型股的表現比較好
模擬至2017年時不同持股數的投資組合與等權重的羅素3000指數的績效差異
實驗總共模擬10000次
必須特別說明,研究假定非常理想的狀態,也就是投資組合在更換成分股的時候沒有任何交易成本
研究用了一個很有趣的方式呈現投資報酬率average excess return conditional both on out- and underperformance,我把它翻作條件平均超額報酬就是當投資組合贏過基準指述的情況平均贏多少,而落後基準指數時平均又落後多少,讓我們更清楚不同持股規模贏輸指數的狀況,而不同持股數贏過基準指數的機率如下

可以看到隨著持股數的上升,贏過基準指數的機率也在增加,從單一支股票的百分之十一上升到500支股票的百分之四十八,然而少數持股不僅勝利機率更低,一個尷尬的情況是當贏過基準指數時贏的不夠多,輸基準指數時輸很多,請看下圖

集中持股呈現一個小贏大輸的情況,如果我們去計算集中持股的預期報酬,例如單一持股贏的機率是百分之十一,輸的機率是百分之八十九,預期報酬就是正報酬的百分之4.2乘以百分之十一減去負報酬的百分之11.7乘以百分之八十九等於負百分之9.9,持股數量的預期報酬如下圖

造成集中持股股票的平均預期超額報酬率是負值,很重要的一個原因是,股市報酬分布並不均勻,股市報酬是一個正偏態分布,什麼是正偏態分布,就是大部分的股票報酬很差,少部分股票表現很好,如下圖

統計在1987年到2017年當一支股票被納入羅素3000指數後所產生的報酬,可以看到有將近一半的股票報酬率都是負數,只有百分之五多一點的股票有超過十倍的驚人報酬率,讀到這裡可能有些人仍有疑惑,股市報酬由少數贏家帶動,造成贏的機率少,輸的機率多,報酬離散程度很大這非常好理解,可是整體集中投資投資人的報酬率應該還是要等於基準指數,不可能輸給基準指數,也就是少部分人大賺,多數人賠錢,這個部分卻是比較難理解,我也是研究了一陣子才想通,這個的原因就是簡森不等式,在引入這個數學概念以前,讓我們用一個簡單的模型分析這件事情是怎麼發生的
假設有ABC三支股票,股票A的報酬是年化百分之21,股票B的報酬是負百分之6,股票C的報酬是負百分之9,以上股票報酬分布符合現實的正偏態分布,投資人投資三年每年只選一支股票,分析在單一持股下,投資人的報酬分布,與投資人平均預期超額報酬是多少

在這三年裡由ABC三支股票各占三分之一所組成的投資組合,投資總報酬將增長為1.061208倍,年化報酬百分之二,如果我們將上述總報酬乘以投資組合可能出現的次數,例如AAB,BAA,ABA就是1.376254乘以三,全部加總除以所有可能的二十七種,會得到總報酬也是1.061208倍,也就是直覺正確所有投資人賺到的總金額等於大盤的報酬。但是當我們對所有投資人得到的年化報酬率做一樣的事情,平均年化報酬率只有1.42,低於大盤的年化百分之二報酬,怎麼會這樣,所有人的最終金額等於大盤,但是平均年化報酬率低於大盤,這裡就必須引進一個數學概念,簡森不等式
我們定義年化報酬率 r 為財富 W 的函數

或者我們將其簡化

由於 f(x)=ln(x) 是一個凹函數(Concave Function),根據簡森不等式:

用白話文說就是總報酬的平均取年化報酬率,必定大於等於所有年化報酬率的平均,我們可以進一步使用泰勒展開式看看兩者大概會差多少
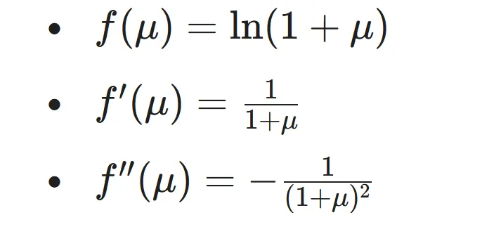
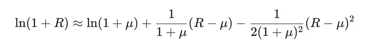
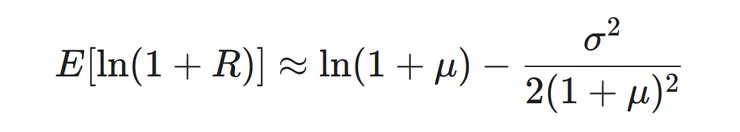
我們對函數 f(R)=ln(1+R) 在平均值 μ 處進行二階泰勒展開:

計算各階導數:

帶入展開式:

對等式兩邊取期望值
先對左式取期望值

這項就是所有年化報酬的平均
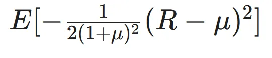
再對右式三項取期望值
第一項

常數,不變
第二項

因為 E[R−μ]=0,這項消失了
第三項

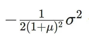
這項變成了

得出

當 μ 很小(例如一般股市的單期報酬 2% 或 10%)時,1+μ≈1。 公式簡化為:

所以所有年化報酬的平均大約等於大盤報酬減去該投資組合中總變異數除以二
我們可以這樣思考:當我們集中投資時,預期獲得的年化報酬率,本質上等於**『大盤報酬』減去『該投資組合總變異數的一半』**當我們增加持股,我們新的投資組合總變異數會減少,預期年化報酬會逐步貼近大盤報酬
。
總結來說,由於股市報酬呈現高度的正偏態分布,大部分股票表現平庸,僅有少數優異贏家支撐大盤,這導致集中持股不僅難以捕捉到這些贏家,還必須為劇烈的波動支付數學上的代價。
隨著持股數量增加,投資組合內的波動因彼此抵消而下降,這不僅降低了實質風險,更因為**波動損耗(Volatility Drag)**的減少,讓預期報酬得以逐步貼近大盤。因此,增加持股能讓我們在機率上,更有保障地獲得理想的投資成果
























