用真正的「格點座標轉換」,
讓密文變成一種幾何問題。格點座標轉換
核心概念:
把字母變成 2 維整數向量,
然後用矩陣做線性變換。
這其實就是:
小型格加密原型
📐 Step 1:字母 → 格點
定義:
A=0 … Z=25
把每兩個字母分成一組:
Y S
A F
Z X
轉成數字:
Y=24, S=18
A=0, F=5
Z=25, X=23
寫成向量:
(24,18), (0,5), (25,23)
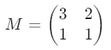
📐 Step 2:選你的專屬基底矩陣
我們選一個可逆整數矩陣:

行列式:

✔ 可逆
✔ 適合模 26
📐 Step 3:矩陣乘法(模 26)
對 (24,18):

模 26:
108 mod 26 = 4
42 mod 26 = 16
得到:

對應字母:
E Q
📐 所有組轉換

🎯 最終密文
YSAFZX → EQKFRW
🔓 解密方法
使用逆矩陣:

(模 26)
乘回去即可復原。
📊 幾何直觀
原本是正方格,
變成斜格。
這就是:
基底改變(basis change)
🧠 為什麼格點密碼很強?
普通古典密碼:
- 只在 1 維字母上操作
這套:
- 把字母嵌入 2 維格
- 做線性代數變換
這相當於:
小型 Hill Cipher + 格理論味道
















