我們來做一個真正可算的同態加密實例。
我會用最經典、數學相對清楚的:Paillier 加密(加法同態)
由 Pascal Paillier 提出。
它支援:

🎯 目標示範
我們要:
- 加密 5 和 7
- 在「密文狀態」下相乘
- 解密後得到 12
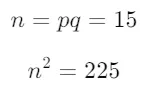
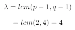
一、Step 1:產生金鑰
選兩個質數:

(實務上會是 1024~4096 位元質數)
計算:

選擇:

計算:

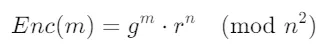
二、Step 2:加密公式
Paillier 加密:

其中:
- m 是明文
- r 是隨機數(與 n 互質)
三、加密 5
選:

計算:

先算:

再算:

相乘:

所以:

四、加密 7
選:

相乘:

所以:

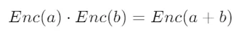
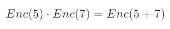
五、Step 3:密文運算
同態性質:

計算:

得到:

這是:

(理論上)
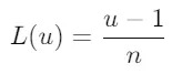
六、Step 4:解密
解密公式:

其中:

計算:

成功得到:

🎉 結果

解密後:

整個過程中:
✔ 沒人看到 5
✔ 沒人看到 7
✔ 卻成功算出 12
七、幾何直觀

八、這個例子為何安全?
因為:
若不知道私鑰,
要從:

解出 m,
等價於:
分解大整數 n
這是困難問題。
九、重點總結
Paillier 展示了:
- 加密後可加法
- 不需解密即可運算
- 解密後得到正確結果
但它只能做「加法同態」。















