一、2013 年 6 月的那個星期三
2013 年 6 月 19 日,星期三下午,柏南奇在例行的 FOMC 記者會上說了一句話:
「如果經濟數據持續改善,Fed 可能在今年稍晚開始縮減購債規模。」
就這一句話。
黃金在接下來的兩個交易日暴跌超過 10%,從 1380 美元跌至 1230 美元。這是黃金自 1980 年以來最大的單週跌幅。白銀跌得更慘,超過 15%。黃金礦業股指數單週腰斬。
市場給這個事件起了一個名字:縮減恐慌(Taper Tantrum)。
但真正值得思考的問題不是「為什麼黃金跌了」,而是:柏南奇只是說「可能」縮減,Fed 甚至還沒有真的採取任何行動,黃金為什麼跌得這麼快、這麼深?
答案在於:黃金的定價不只反映現在,它反映預期。當市場開始預期實質利率將從負值回升,持有黃金的邏輯就開始鬆動,不需要等到利率真的上升。
這個瞬間,是第四章十年牛市的正式終結,也是一個新時代的開始——一個黃金定價邏輯在新舊力量之間反覆拉鋸的十年。
二、縮減恐慌的完整衝擊
縮減恐慌不只是一個黃金的故事,它是一個全球資產重新定價的故事。
當市場預期 Fed 即將縮減 QE,美國長期利率開始快速上升。10 年期美債殖利率在幾週內從 1.6% 飆升至 2.9%,漲幅將近一倍。這個速度令所有人措手不及。
利率上升的效應向外擴散:
新興市場首當其衝。過去幾年,全球資金在 QE 環境下大量流入新興市場追逐收益率。當美國利率開始上升,這些資金開始回流,新興市場貨幣急速貶值——印度盧比、巴西雷亞爾、南非蘭特、土耳其里拉,在幾個月內都大幅承壓。
黃金面對的是最直接的邏輯逆轉:
r實質↑→持有黃金機會成本↑→P黃金↓r_{\text{實質}} \uparrow \rightarrow \text{持有黃金機會成本} \uparrow \rightarrow P_{\text{黃金}} \downarrowr實質↑→持有黃金機會成本↑→P黃金↓

從 2013 年 6 月到 2013 年底,黃金從 1380 美元一路跌至 1200 美元以下。2014 年繼續下探,一度觸及 1130 美元。
這段跌幅讓很多在 2011 年高點附近買入黃金的投資人損失慘重,也讓市場開始重新思考黃金的角色——它是不是真的「避險資產」?還是只是一個對利率敏感的投機工具?
三、礦業公司的代價
縮減恐慌之後,黃金礦業公司受到的衝擊,比黃金本身更為劇烈。
這裡有一個結構性的原因值得說明。
黃金礦業公司的獲利,取決於黃金銷售價格與開採成本之間的差距。當黃金在 2011 年漲到 1921 美元時,礦業公司的利潤豐厚,競相擴大產能、收購礦山、增加資本支出。
問題是,礦業公司在擴張期間假設黃金價格會維持高位。當黃金從 1921 美元跌回 1200 美元,那些在高點做出的投資決策,全部變成了虧損的包袱。
巴里克黃金(Barrick Gold)在 2013 年認列了超過 80 億美元的減值損失,是當年企業界規模最大的資產減值之一。紐蒙特礦業(Newmont Mining)、安格魯黃金(AngloGold Ashanti)等大型礦業公司相繼宣布大規模裁員和資產出售。
這場礦業公司的崩潰,對黃金市場有一個意想不到的長期效果:
礦業公司虧損→資本支出削減→新礦開發停止→未來黃金供給↓\text{礦業公司虧損} \rightarrow \text{資本支出削減} \rightarrow \text{新礦開發停止} \rightarrow \text{未來黃金供給} \downarrow礦業公司虧損→資本支出削減→新礦開發停止→未來黃金供給↓

礦山從開發到生產,通常需要五到十年的時間。2013 年之後的資本支出崩潰,意味著 2018 年之後的黃金供給將面臨結構性短缺。這個供給面的邏輯,在 2018 年之後開始悄悄支撐金價,成為下一波牛市的隱藏燃料之一。
四、2014-2018:實質利率的反攻
2013 年的縮減恐慌之後,Fed 在 2014 年正式開始縮減 QE 規模,到 2014 年底完全停止購債。
2015 年 12 月,Fed 執行了九年來的第一次升息。市場期待已久的貨幣政策正常化,終於啟動。
在這個背景下,黃金進入了一個反覆震盪的整理期。定價的主角,回歸到最基本的實質利率方程式:
P黃金∝1r實質=1i−πeP_{\text{黃金}} \propto \frac{1}{r_{\text{實質}}} = \frac{1}{i - \pi^e}P黃金∝r實質1=i−πe1

這個時期的特點是:實質利率雖然從深度負值回升,但始終沒有真正大幅轉正。原因在於,雖然 Fed 在升息,但通膨同樣溫和——油價在 2014 年底因頁岩油革命崩跌,全球通縮壓力上升,讓 Fed 的升息步伐也不得不放緩。
結果是:
- 名目利率在上升,但幅度有限
- 通膨預期在下降
- 實質利率略微回正,但幅度遠不及 1980 年代沃克爾時代
黃金在這個環境下,既沒有大跌的理由,也沒有大漲的動力,在 1050 美元到 1300 美元之間反覆震盪。
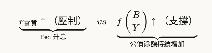
這個橫盤整理,表面看起來是黃金的沉默,實際上是兩股力量的均衡:
r實質↑(壓制)⏟Fed 升息vsf(BY)↑(支撐)⏟公債餘額持續增加\underbrace{r_{\text{實質}} \uparrow \text{(壓制)}}_{\text{Fed 升息}} \quad vs \quad \underbrace{f\left(\frac{B}{Y}\right) \uparrow \text{(支撐)}}_{\text{公債餘額持續增加}}Fed 升息r實質↑(壓制)vs公債餘額持續增加f(YB)↑(支撐)

公債餘額在這個時期繼續增加,從 2013 年的約 17 兆美元,增至 2019 年的超過 22 兆美元。這個背景壓力始終存在,讓黃金沒有真正崩潰,只是在等待下一個觸發點。
五、2016 年:兩個意外的衝擊
2016 年是充滿政治意外的一年。兩個事件深刻影響了黃金的走勢,也預示了一個新定價邏輯的到來。
第一個意外:英國脫歐公投
2016 年 6 月 23 日,英國脫歐公投的結果震驚了世界。絕大多數市場預期留歐派會勝出,脫歐派的勝利讓英鎊單日暴跌超過 10%,全球股市大幅震盪。
黃金在公投結果出爐的那個清晨,急漲超過 5%,觸及兩年高點。
這個反應說明了黃金的一個重要特性:政治不確定性是它的燃料。當政治決策產生重大的系統性不確定性,市場就會回到黃金尋求庇護。
第二個意外:川普當選
2016 年 11 月 8 日,川普意外勝選。
黃金的反應有趣而複雜。開票夜,當川普領先的跡象越來越清晰,黃金一度急漲至 1340 美元。但到了隔天早上,黃金不但沒有繼續上漲,反而快速回落。
原因在於:市場對川普當選的解讀,在幾個小時內從「政治不確定性」切換到「財政刺激預期」。川普承諾大規模減稅和基礎設施投資,市場預期這將推升經濟成長和通膨,美元走強,美債殖利率上升,黃金承壓。
這個從急漲到急跌的過程,在一個晚上之內完成,說明了黃金市場的反應有多敏感——同樣一個事件,因為解讀框架的不同,可以同時是利多和利空。
六、2018-2019:最後一次考驗
2018 年,Fed 的升息週期進入最後階段。聯邦基金利率在年底達到 2.5%,是 2008 年金融危機以來的最高水準。
對黃金而言,這是一次嚴峻的考驗。實質利率回升,美元走強,黃金承受壓力,從年初的 1360 美元,跌至 8 月的 1178 美元。
但這裡有一個值得注意的細節:黃金雖然下跌,但跌幅遠比根據實質利率模型預期的要小。
原因在於第二個定價因素——公債餘額——已經增長到足以提供顯著支撐的規模。川普政府 2017 年的大規模減稅,在 2018 年讓財政赤字急速擴大,公債餘額繼續膨脹。市場開始隱約感覺到,美國財政正在走向一個難以自我修正的軌道。
然後 2019 年,一件事讓 Fed 的升息週期提前結束。
美中貿易戰的升溫,讓全球經濟成長前景急速惡化。Fed 在 2019 年 7 月、9 月、10 月三次降息,從 2.5% 降至 1.75%。這個急轉彎,被市場稱為「保險降息」。
黃金對這個轉向的反應是立刻而清楚的:從 2019 年初的 1280 美元,一路上漲至年底的 1520 美元,單年漲幅超過 18%。
Fed 急轉彎降息→r實質↓→P黃金↑\text{Fed 急轉彎降息} \rightarrow r_{\text{實質}} \downarrow \rightarrow P_{\text{黃金}} \uparrowFed 急轉彎降息→r實質↓→P黃金

↑
傳統的實質利率邏輯,再次清楚地發揮作用。
七、2020 年:一切加速
2020 年 1 月,新冠疫情開始在中國擴散。2 月,蔓延至全球。3 月,全球封鎖。
Fed 的反應比 2008 年更快、更大:利率在兩週內從 1.75% 降至零。QE 重啟,規模更大,速度更快——在最初幾週,Fed 每天購買超過 750 億美元的資產。國會通過 2.2 兆美元的 CARES Act,隨後又追加更多財政刺激。
這些動作的規模,遠超過 2008 年的應對。
黃金的反應分成兩個階段,和 2008 年驚人地相似:
第一階段:3 月的恐慌性拋售。
疫情初期的恐慌讓所有資產被拋售,黃金從 1680 美元跌至 1480 美元。和 2008 年一樣,極端恐慌中所有人都需要現金,黃金也無法幸免。
第二階段:4 月到 8 月的急速上漲。
當市場意識到 Fed 和政府的應對規模,黃金開始急速上漲。實質利率再次大幅轉負——名目利率被壓在零,而通膨預期因為天量財政刺激而快速上升。
i≈0%−πe↑⇒r實質↓↓→P黃金↑↑i \approx 0\% - \pi^e \uparrow \Rightarrow r_{\text{實質}} \downarrow \downarrow \rightarrow P_{\text{黃金}} \uparrow \uparrowi≈0%−πe↑⇒r實質↓↓→P黃金↑↑

2020 年 8 月 7 日,黃金突破 2075 美元,超越了 2011 年的歷史高點,創下當時的歷史新高。
這個高點,和 2011 年的 1921 美元有一個重要的不同:這次的財政規模,是 2008 年的好幾倍。美國公債餘額在幾個月內從約 23 兆美元急升至接近 27 兆美元。
公債餘額的第二個定價因素,開始從配角走向主角。但這個轉變,在 2020 年還不明顯,因為主角仍然是實質利率——畢竟,實質利率大幅為負,這個傳統邏輯足以解釋黃金的上漲。
真正的考驗,在兩年後到來。
八、結語:拉鋸說明了什麼
2012 年到 2020 年,黃金在 1050 美元到 2075 美元之間大幅震盪,既沒有重現 1970 年代的單邊暴漲,也沒有重演 1980 年代的二十年沉默。
這個拉鋸的格局,精確地反映了這個時期兩股力量的角力:
一方是實質利率的正常化壓力——Fed 試圖縮減 QE、逐步升息,讓貨幣政策回歸正常化,這個力量在壓制黃金。
另一方是公債餘額的持續積累——無論哪個政府執政,財政赤字都在擴大,公債餘額從未真正下降,這個力量在支撐黃金。
兩股力量拉鋸,黃金就在中間震盪。
但這個拉鋸有一個不對稱的地方:公債餘額只能增加,不能減少。
實質利率可以升,也可以降。但美國的公債餘額,從 2008 年至今,從沒有真正下降過。每一輪危機都讓它上一個新台階,然後在台階上繼續攀升。
這個不對稱,意味著長期的方向是清楚的。問題只是:什麼時候,公債餘額這個定價因素會強大到足以主導黃金,讓實質利率的力量退居次要?
2022 年,這個問題有了答案。
Fed 以史上最快的速度升息,實質利率從大幅負值急速轉正。按照傳統的實質利率模型,黃金應該大幅下跌。
但黃金沒有大幅下跌。
那一年,是舊地圖失效的元年。
那個故事,是第六章。























