在電腦視覺與生物識別技術的發展史上,John Daugman 教授無疑是一位關鍵人物。他最著名的貢獻在於將 Dennis Gabor 的一維小波理論擴展至二維空間,並以此奠定了現代**虹膜辨識(Iris Recognition)**的演算法基礎。
諾貝爾獎目前並未設立專門的「電腦科學」或「人工智慧」獎項。然而,Daugman 的成就獲得了學術界與工程界的最高榮譽。他因虹膜辨識技術的發明,於 2011 年入選美國國家發明家名人堂(National Inventors Hall of Fame),並獲得大英帝國勳章(OBE)以及富蘭克林研究所的 Benjamin Franklin Medal。
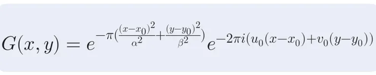
核心貢獻:2D Gabor 濾波器
1946 年,Dennis Gabor 提出了一維函數來處理時間與頻率的解析度極限。John Daugman 則在 1980 年代將其推廣到二維,建立了 2D Gabor Filter 模型。
1. 模擬生物視覺
Daugman 的研究起點並非安全技術,而是神經科學。他發現大腦皮層(V1 區)的簡單細胞(Simple Cells)其感受野(Receptive Fields)的反應特性,可以用 2D Gabor 函數精確地進行數學建模。

2. 虹膜編碼(IrisCode)
Daugman 利用 2D Gabor 濾波器對虹膜紋理進行多尺度相位量化。這項技術能從看似混沌的虹膜特徵中抽取出一組 2048 位元的二進制代碼(IrisCode)。
• 極高的唯一性: 兩個不同虹膜產生相同 IrisCode 的機率在統計上幾乎為零。
• 極速的比對: 透過異或運算(XOR),系統能在不到一秒的時間內,於百萬級數據庫中完成搜尋。
學術里程碑與經典論文
Daugman 的研究職涯主要在劍橋大學電腦實驗室度過。他的論文不僅具備嚴謹的數學推導,更深刻影響了當代的影像處理。
• 《Uncertainty relation for resolution in space, spatial frequency, and orientation optimized by two-dimensional visual cortical filters》 (1985)
這篇論文正式確立了 2D Gabor 函數在空間與空間頻率域中達到海森堡不確定性原理的下限。
• 《High confidence visual recognition of persons by a test of statistical independence》 (1993)
這是虹膜辨識領域的開山之作,詳細說明了如何利用 2D Gabor 相位資訊進行身份驗證。
• 《How Iris Recognition Works》 (2004)
這是一篇綜述性文章,系統性地介紹了從影像採集、邊緣檢測(Daugman’s Integro-differential Operator)到編碼比對的全過程。
技術影響與評價
如今,全球各地的海關自動通關系統、印度 Aadhaar 全民身份識別系統,其底層邏輯皆源自 Daugman 的演算法。
他將原本屬於神經科學的生理觀察,轉化為改變世界的工程應用。正如他常強調的,虹膜辨識的成功並非偶然,而是基於對「隨機性(Randomness)」與「統計獨立性(Statistical Independence)」的深度理解。
對於電腦視覺研究者而言,John Daugman 證明了:最優雅的數學模型,往往就隱藏在自然界的生物機制之中。


















